Open Access

Fig. 13

image

Download original image

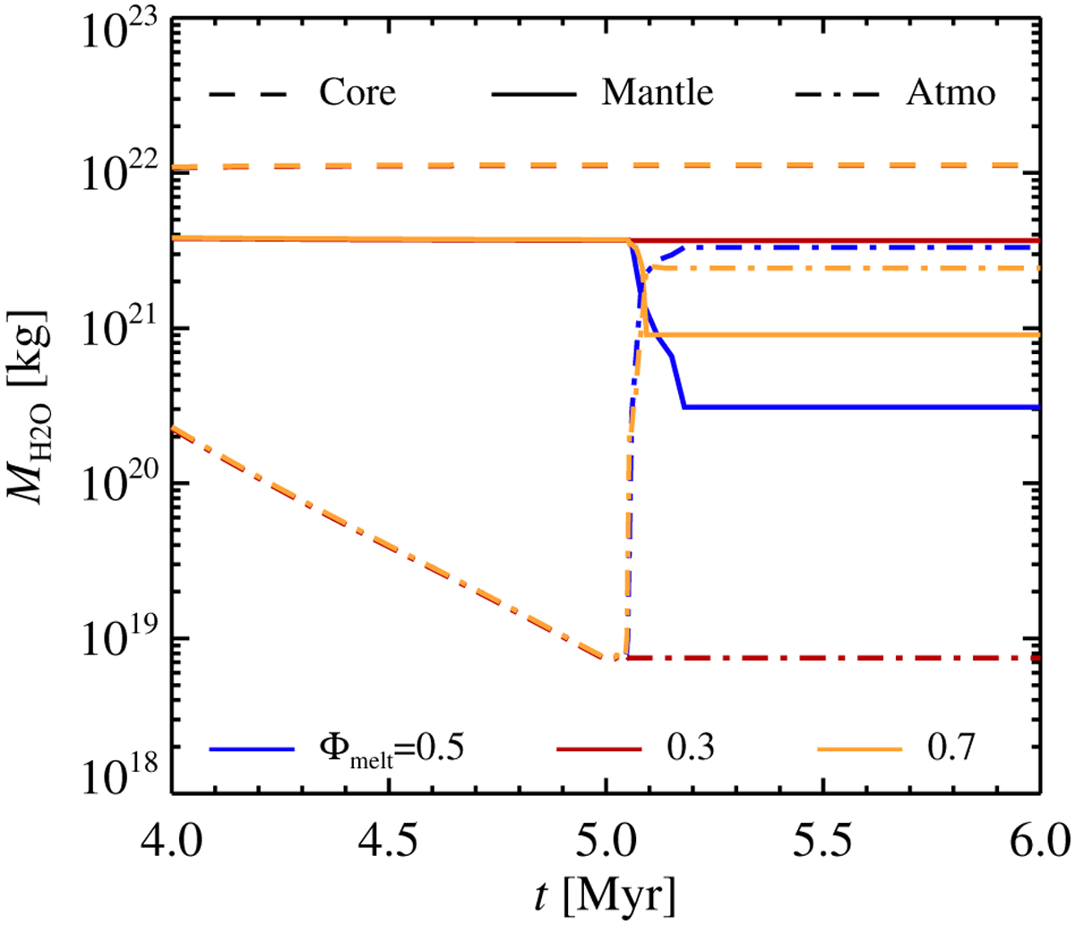
Mass of water in the core, mantle and atmosphere reservoirs for three different choices of the threshold melt fraction Φmelt above which the magma ocean is considered liquid and can hence exchange volatiles with the core and the atmosphere. The core reservoir is relatively unaffected by this choice and holds in all cases the dominant water mass. Lowering the threshold fraction to 0.3 means that the magma ocean does not formally crystallize and hence the mantle reservoir cannot outgas efficiently to the atmosphere. Increasing instead to Φmelt = 0.7 causes less outgassing than the nominal choice of Φmelt = 0.5, since the volatile exchange with the atmosphere ceases at a higher magma mass that can thus store more volatiles. This reduces the atmospheric reservoir of water by a factor of approximately two.

Current usage metrics show cumulative count of Article Views (full-text article views including HTML views, PDF and ePub downloads, according to the available data) and Abstracts Views on Vision4Press platform.

Data correspond to usage on the plateform after 2015. The current usage metrics is available 48-96 hours after online publication and is updated daily on week days.

Initial download of the metrics may take a while.