Open Access

Fig. 14

image

Download original image

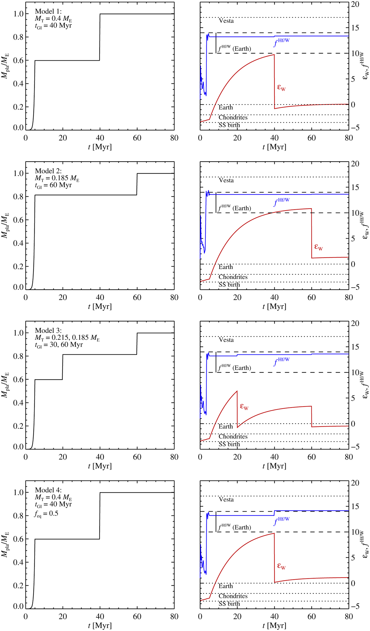
Comparisons of four models of Earth formation by rapid pebble accretion to the Hf-W isotope data for Earth. The top panels (Model 1) shows results for our nominal impactor mass of 0.4 ME colliding with proto-Earth after 40 Myr. The excess of 182W in the mantle builds up a to a value of nearly 10 before the interaction of the mantle material with the impacting Theia core delivers enough 183W to bring the єW value down towards the measured data. The second panel (Model 2) show instead the effect of lowering the impactor to 0.185 ME (we use here our Venus analogue for the proto-Earth model). We set the impact to occur after 60 Myr to avoid subsequent build up of 182W in the mantle, but the impactor mass is too low to bring the model to agree with the measured єW of Earth. The canonical impactor model is reconciled with the Hf-W system in the third row (Model 3) where we include two giant impacts: an early impact at 20 Myr removes the initial 182W excess and the second (moon-forming) giant impact brings the subsequent mantle ingrowth of 182W down to the modern terrestrial value. Finally, the lower panels (Model 4) show the effect of lowering the equilibration efficiency to feq = 0.5. The єW value ends above the terrestrial value in this case.

Current usage metrics show cumulative count of Article Views (full-text article views including HTML views, PDF and ePub downloads, according to the available data) and Abstracts Views on Vision4Press platform.

Data correspond to usage on the plateform after 2015. The current usage metrics is available 48-96 hours after online publication and is updated daily on week days.

Initial download of the metrics may take a while.