Open Access

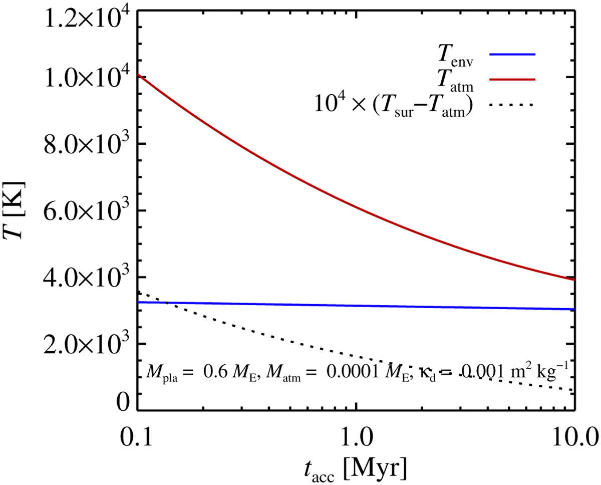
Fig. A.1

image

Download original image

The envelope temperature, atmospheric bottom temperature and surface temperature difference as a function of the accretion time-scale (a measure of the luminosity through L = GMṀ/R). The envelope temperature is close to 3,500 K for all values of the accretion time-scale. Matching this temperature at the top of the atmosphere leads to atmospheric temperatures above 10,000 K for short accretion times (high luminosities) and 4,000 K for long accretion times (low luminosities).

Current usage metrics show cumulative count of Article Views (full-text article views including HTML views, PDF and ePub downloads, according to the available data) and Abstracts Views on Vision4Press platform.

Data correspond to usage on the plateform after 2015. The current usage metrics is available 48-96 hours after online publication and is updated daily on week days.

Initial download of the metrics may take a while.