Open Access

Fig. 3

image

Download original image

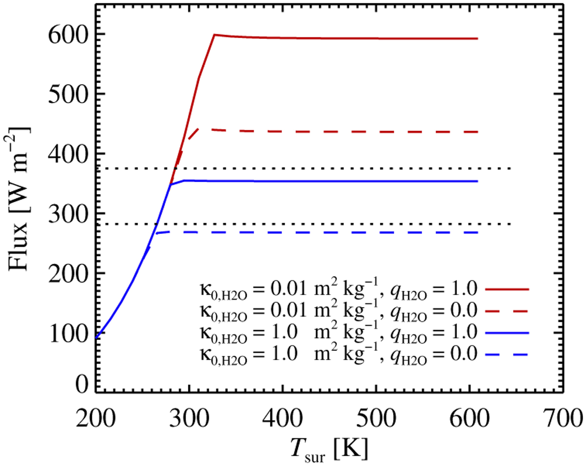
Thermal flux escaping the top of a pure water atmosphere for a range of surface temperatures. The run-away greenhouse effect manifests itself as a plateau in the outgoing flux: there is no stable thermal equilibrium when the external or internal heating is higher than this critical flux Fcrit. We mark the Goldblatt et al. (2013) result of a full frequency-dependent radiative transfer 1D model (Fcrit = 282W m−2) and the Leconte et al. (2013) result of a 3D climate model (Fcrit = 375 W m−2) with dotted lines. The grey opacity parametrization of Matsui & Abe (1986a), with κ0 = 0.01 m2 kg−1 and linear pressure dependence (full red line), results in a too high critical flux value. We find a better match when adopting a two orders of magnitude higher opacity, κ0 = 1.0 m2 kg−1.

Current usage metrics show cumulative count of Article Views (full-text article views including HTML views, PDF and ePub downloads, according to the available data) and Abstracts Views on Vision4Press platform.

Data correspond to usage on the plateform after 2015. The current usage metrics is available 48-96 hours after online publication and is updated daily on week days.

Initial download of the metrics may take a while.