Open Access

Fig. 6

image

Download original image

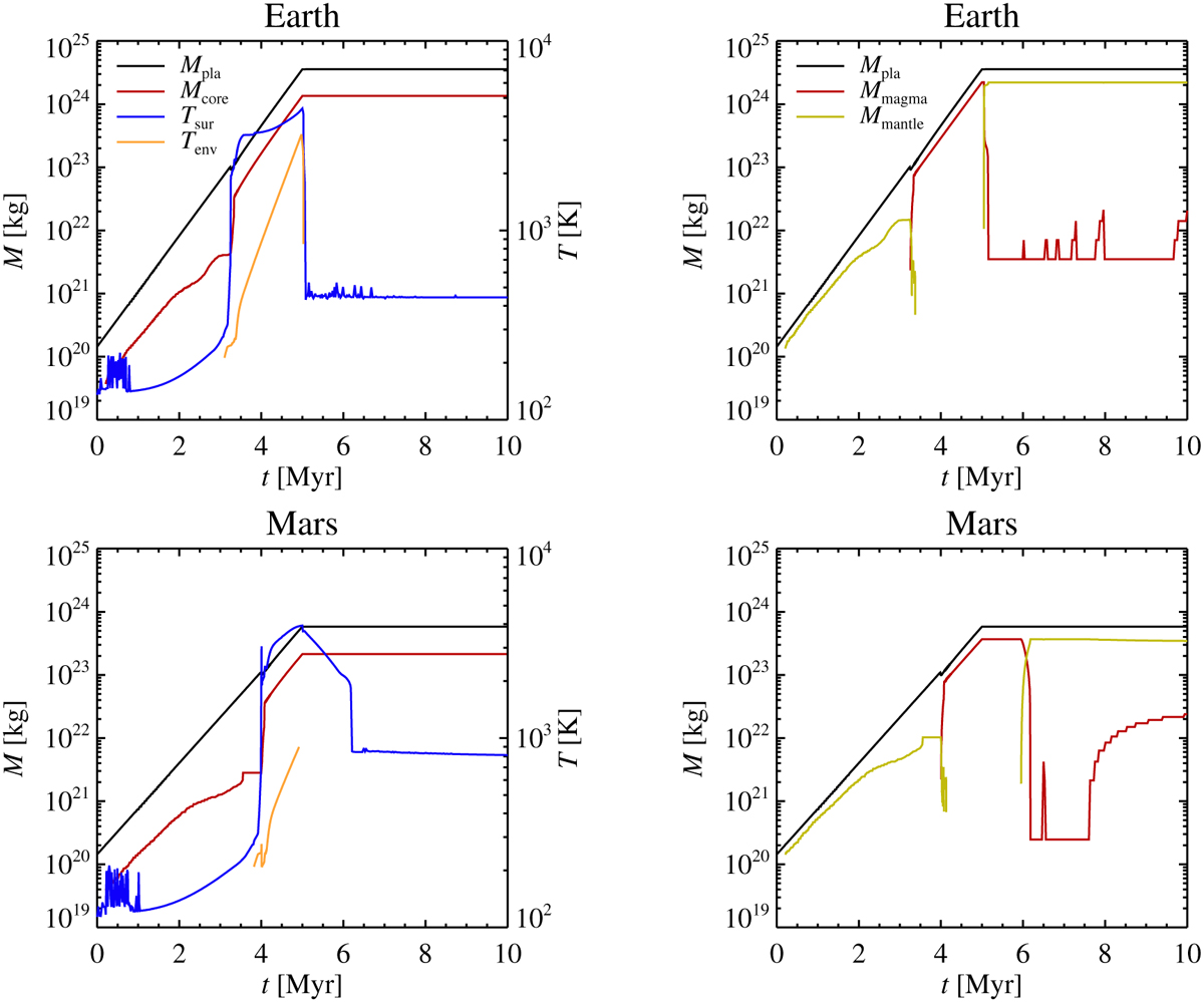
Temporal evolution of mass reservoirs and characteristic temperatures. Left panels: total mass and core mass (left axis) and surface temperature and envelope temperature (right axis) as a function of time for our Earth and Mars analogues. Right panels: mass of the planet, the magma ocean and the solid mantle as a function of time. Within the first 3 Myr, the decay of 26Al provides enough energy to drive differentiation into an early core and mantle. The mantle temperature is kept below the liquidus temperature by efficient convective heat transport. A global magma ocean forms when the accretion energy blanketed by the outgassed atmosphere triggers a run-away greenhouse effect. The surface temperature then rises to 4500 K. The global magma ocean undergoes separation of metal melt from silicate melt, leading to the differentiation into a core and a mantle. The surface temperature falls steeply after the protoplanetary disc dissipates, as the accretion energy vanishes and the hydrostatic gas envelope escapes by stellar XUV irradiation. The surface temperature is nevertheless much higher than the effective temperature because of the greenhouse effect in the massive outgassed atmosphere. The magma ocean crystallizes rapidly after the end of the accretion phase, as its thermal energy is carried upwards by convection and transported through the atmosphere. The base of the magma ocean nevertheless experiences some remelting due to energy transfer from the still molten core (this is visible as spikes in the magma contents after 5 Myr).

Current usage metrics show cumulative count of Article Views (full-text article views including HTML views, PDF and ePub downloads, according to the available data) and Abstracts Views on Vision4Press platform.

Data correspond to usage on the plateform after 2015. The current usage metrics is available 48-96 hours after online publication and is updated daily on week days.

Initial download of the metrics may take a while.