Open Access

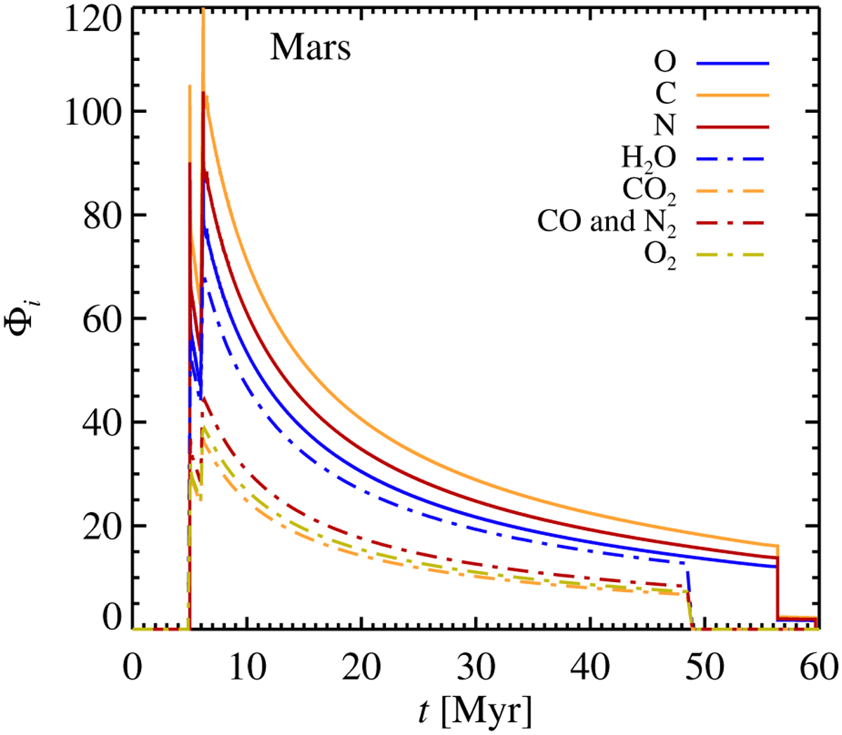
Fig. 4

image

Download original image

Escape parameter Φi as a function of time for our Mars analogue. We show results both for our standard assumption that molecules are dissociated into O, C, and N in the thermosphere (full lines) as well as for an alternative model where the molecules are assumed to remain intact (dash-dotted lines). We bundle CO and N2 together in the plot, due to their similarity in both binary diffusion coefficient (Zahnle & Kasting 1986) and molecular weight; this gives a similar escape parameter. The escape flux of hydrogen is in all cases high enough to drag along all heavier species (Φi ≫ 1) until all the hydrogen has been depleted.

Current usage metrics show cumulative count of Article Views (full-text article views including HTML views, PDF and ePub downloads, according to the available data) and Abstracts Views on Vision4Press platform.

Data correspond to usage on the plateform after 2015. The current usage metrics is available 48-96 hours after online publication and is updated daily on week days.

Initial download of the metrics may take a while.