Open Access

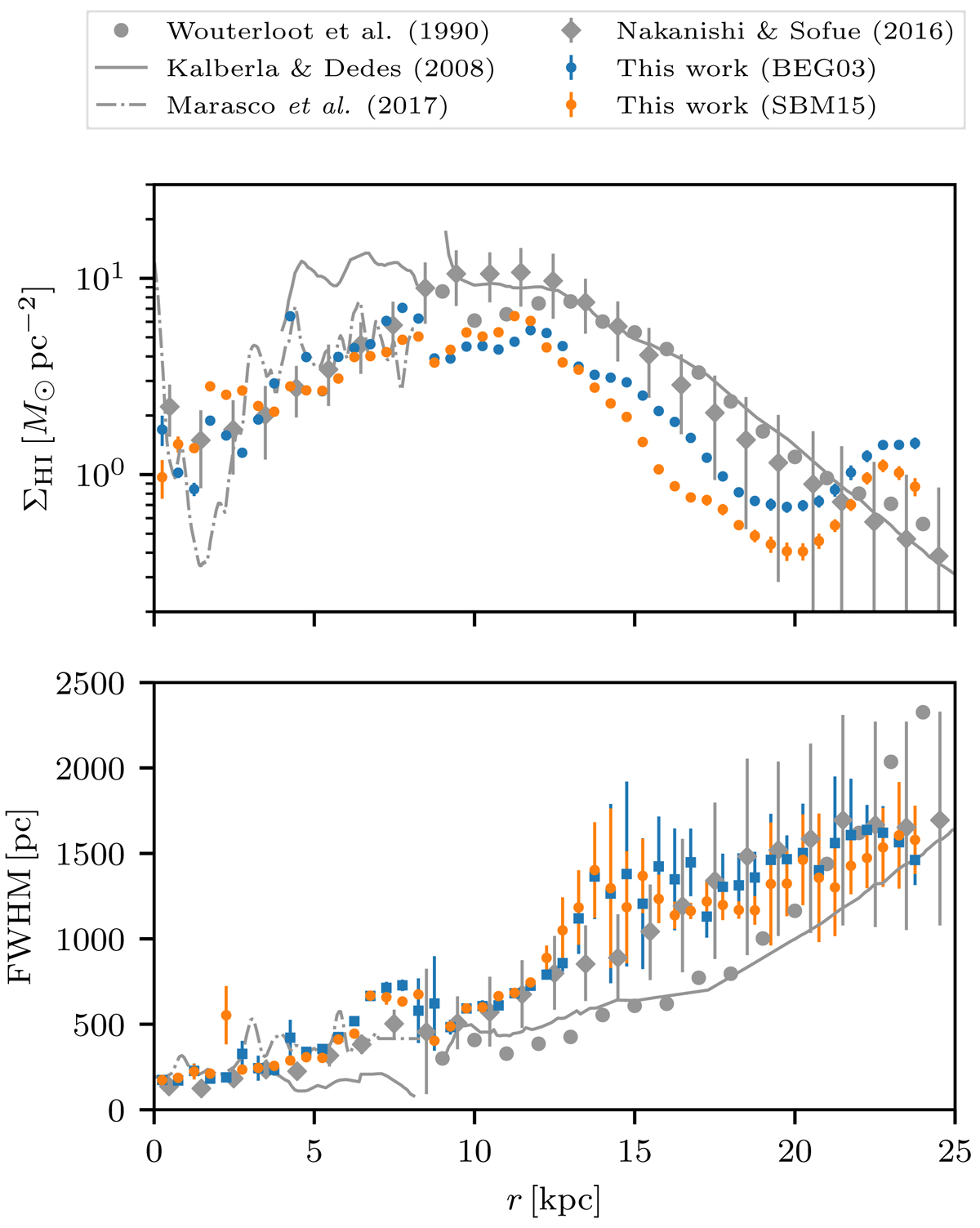
Fig. 9.

image

Download original image

Radial profiles of the surface mass density ΣH I (upper panel) and FWHM of the z-profile (lower panel). We compare the results for our two gas flow models (BEG03 and SBM15) with the results of earlier analyses by Wouterloot et al. (1990), Kalberla & Dedes (2008), Nakanishi & Sofue (2016), Marasco et al. (2017).

Current usage metrics show cumulative count of Article Views (full-text article views including HTML views, PDF and ePub downloads, according to the available data) and Abstracts Views on Vision4Press platform.

Data correspond to usage on the plateform after 2015. The current usage metrics is available 48-96 hours after online publication and is updated daily on week days.

Initial download of the metrics may take a while.