Open Access

Fig. 2.

image

Download original image

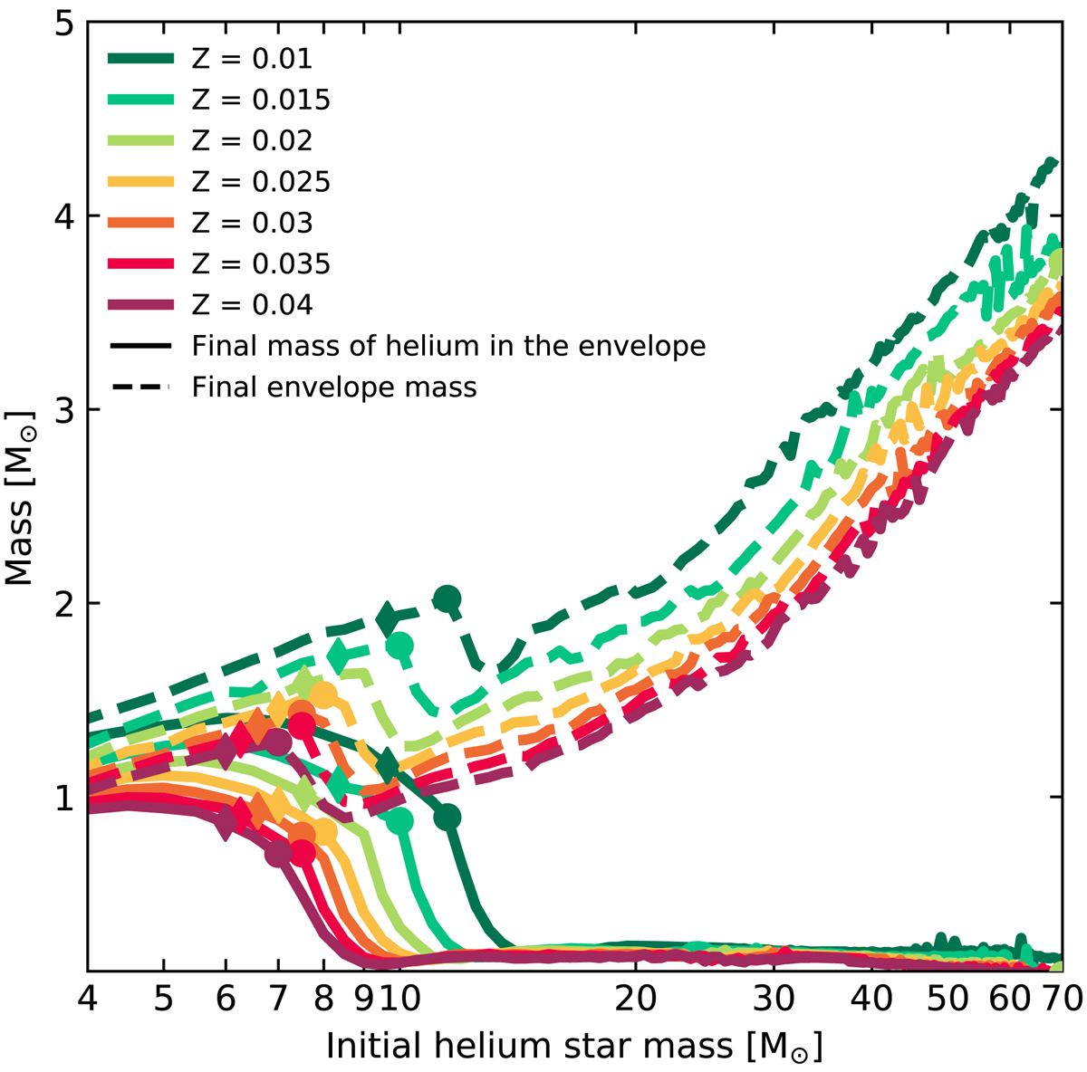
Final mass of helium in the envelope, as calculated by Eq. (10), shown in solid lines as a function of the initial mass of helium stars of different metallicities. The final total mass of the helium-rich envelope is shown in dashed lines for comparison. The dots on each line indicate, for each metallicity, the initial helium star mass at which the transition between WN- and WC-type mass loss is observed to occur in the models. The rhombi indicate the value of the minimum initial mass above which helium stars are observable as WN-type stars, obtained via Eq. (8). Helium stars below this limit do not have optically thick WR winds and have overestimated mass-loss rates.

Current usage metrics show cumulative count of Article Views (full-text article views including HTML views, PDF and ePub downloads, according to the available data) and Abstracts Views on Vision4Press platform.

Data correspond to usage on the plateform after 2015. The current usage metrics is available 48-96 hours after online publication and is updated daily on week days.

Initial download of the metrics may take a while.