Open Access

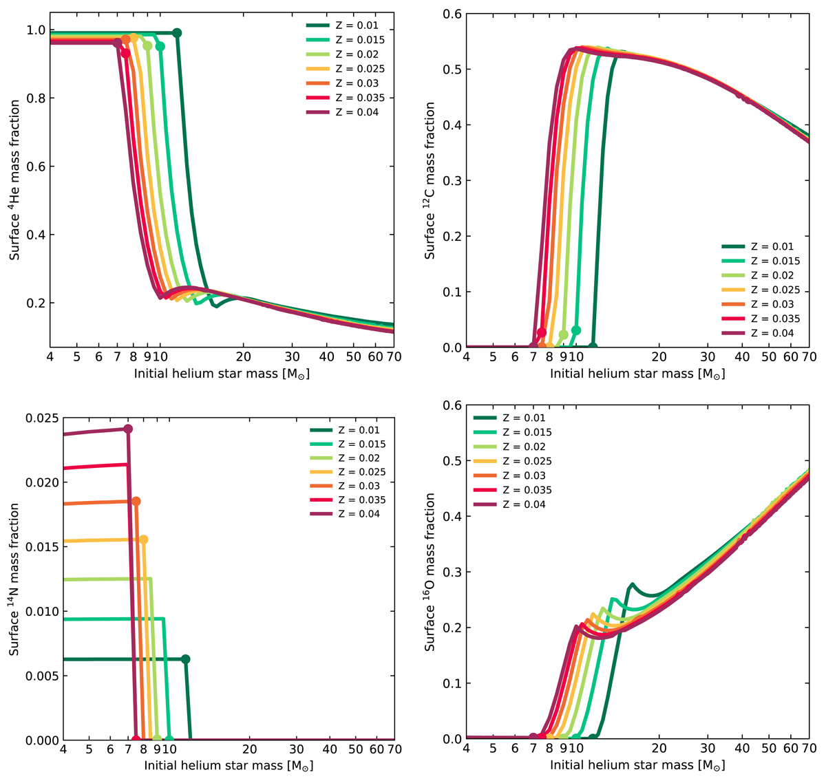
Fig. 3.

image

Download original image

Surface mass fractions of 4He, 12C, 14N, and 16O of our helium star models at core collapse, as a function of initial mass, for different metallicities. The dots on each line indicate, for each metallicity, the initial helium star mass at which the transition between WN- and WC-type mass loss is observed to occur in the models.

Current usage metrics show cumulative count of Article Views (full-text article views including HTML views, PDF and ePub downloads, according to the available data) and Abstracts Views on Vision4Press platform.

Data correspond to usage on the plateform after 2015. The current usage metrics is available 48-96 hours after online publication and is updated daily on week days.

Initial download of the metrics may take a while.