Open Access

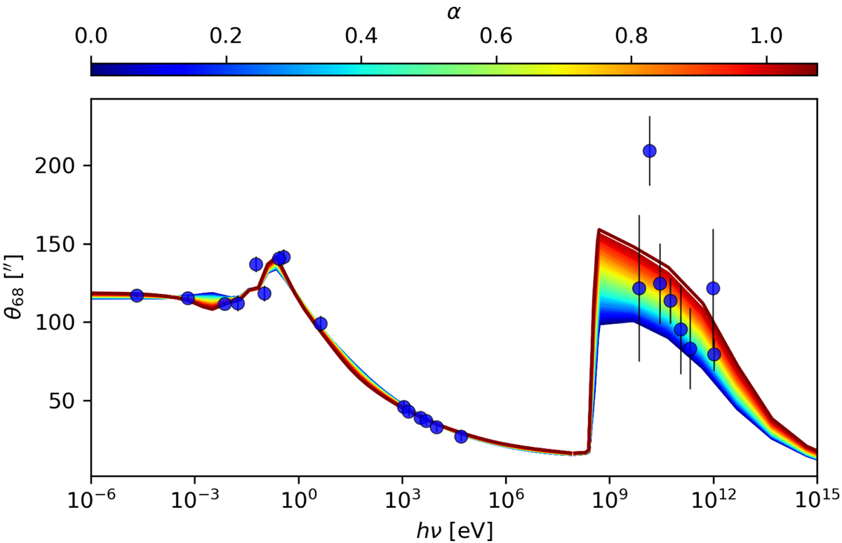
Fig. 11.

image

Download original image

Angular extension from the fitting procedure described in the text. After marginalising , the predicted angular extension of the synchrotron nebula matches the data well for values of α = 0, …, 1.1 with very small variations visible in the transition between thermal and non-thermal emission at near- to far infrared. At higher energies, the predicted size differs mostly at the low-energy end of the inverse Compton emission.

Current usage metrics show cumulative count of Article Views (full-text article views including HTML views, PDF and ePub downloads, according to the available data) and Abstracts Views on Vision4Press platform.

Data correspond to usage on the plateform after 2015. The current usage metrics is available 48-96 hours after online publication and is updated daily on week days.

Initial download of the metrics may take a while.