Open Access

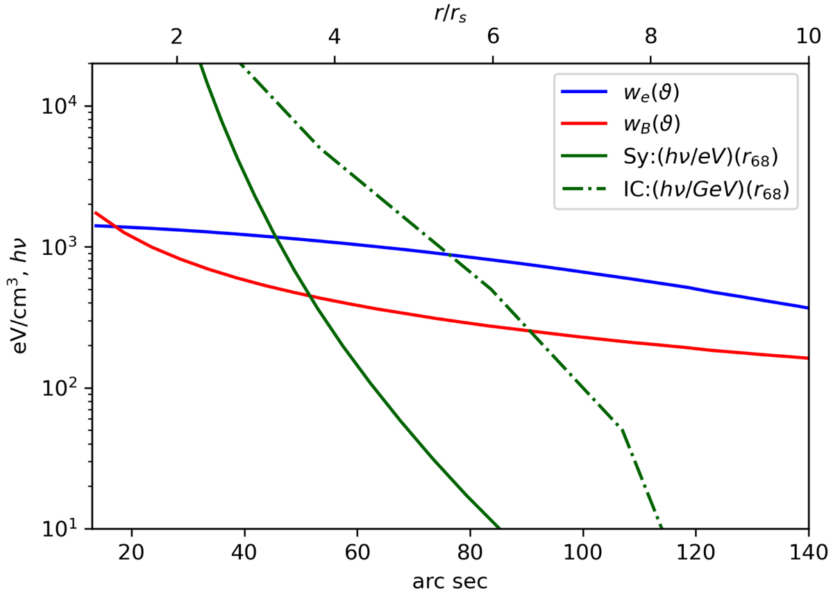
Fig. 14.

image

Download original image

Comparison of the energy density we(ϑ) of the electrons and of the magnetic field wB(ϑ). The two additional (green) lines indicate the extension r68 for the synchrotron and for the inverse Compton component: the y-axes indicates the photon energy in units of eV (synchrotron, solid line) or GeV (IC, dash-dotted line).

Current usage metrics show cumulative count of Article Views (full-text article views including HTML views, PDF and ePub downloads, according to the available data) and Abstracts Views on Vision4Press platform.

Data correspond to usage on the plateform after 2015. The current usage metrics is available 48-96 hours after online publication and is updated daily on week days.

Initial download of the metrics may take a while.