Open Access

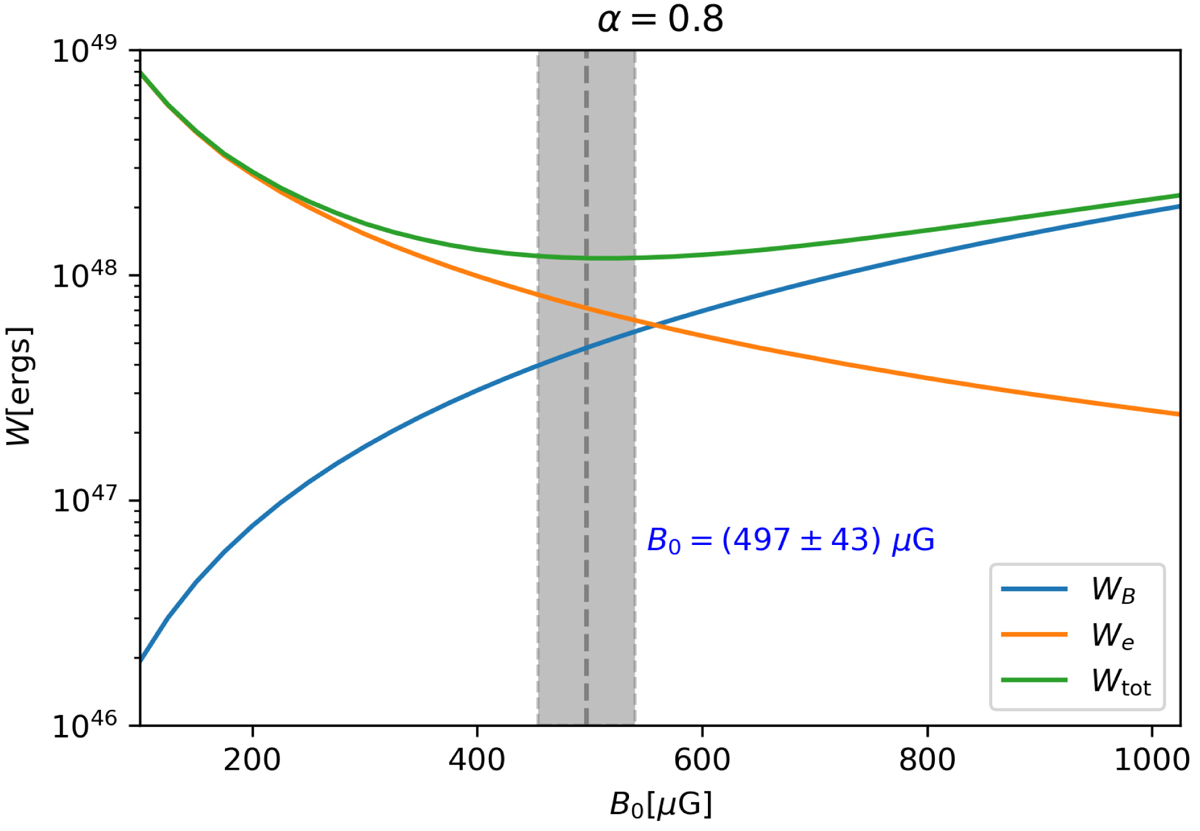
Fig. 6.

image

Download original image

Volume-integrated total energy Wtot equals the sum of the energy in relativistic electrons We and magnetic field WB. For any best-fitting set of parameters, the energy partition is a function of the normalisation B0 of the magnetic field at the shock distance rs. The best-fitting value is found to be (90% c.l. uncertainty, including systematical uncertainties). This value is slightly smaller than the minimal energy configuration at B0 = 514 μG.

Current usage metrics show cumulative count of Article Views (full-text article views including HTML views, PDF and ePub downloads, according to the available data) and Abstracts Views on Vision4Press platform.

Data correspond to usage on the plateform after 2015. The current usage metrics is available 48-96 hours after online publication and is updated daily on week days.

Initial download of the metrics may take a while.