Open Access

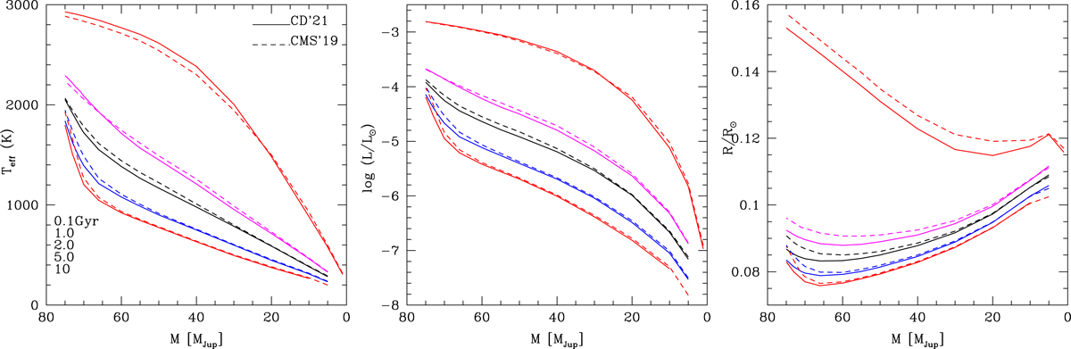
Fig. 3.

image

Download original image

Effective temperature, luminosity and radius for M ≤ 0.075 M for 0.1, 1, 2, 5 and 10 Gyr (from top to bottom), respectively, for the same atmosphere models and helium and heavy element compositions but 2 different EOSs, namely Chabrier & Debras (2021) (present) and Chabrier et al. (2019) (Phillips et al. 2020).

Current usage metrics show cumulative count of Article Views (full-text article views including HTML views, PDF and ePub downloads, according to the available data) and Abstracts Views on Vision4Press platform.

Data correspond to usage on the plateform after 2015. The current usage metrics is available 48-96 hours after online publication and is updated daily on week days.

Initial download of the metrics may take a while.