Open Access

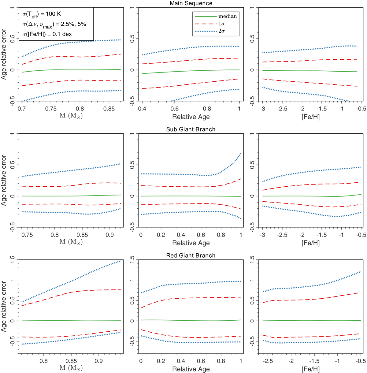
Fig. 1.

image

Download original image

Relative errors on age estimates as a function of the true mass (left panels), relative age (central panels), and metallicity [Fe/H] (right panels) of the star. From top to bottom, the panels show the relative error on age for MS, SGB, and RGB stars, respectively. The green solid line marks the error medians. The red solid line is the 1σ error envelope, while the blue dashed one marks the position of the 2σ envelope (see text). A positive relative error indicates that the reconstructed age of the star is overestimated with respect to the true one.

Current usage metrics show cumulative count of Article Views (full-text article views including HTML views, PDF and ePub downloads, according to the available data) and Abstracts Views on Vision4Press platform.

Data correspond to usage on the plateform after 2015. The current usage metrics is available 48-96 hours after online publication and is updated daily on week days.

Initial download of the metrics may take a while.