Open Access

Fig. 2.

image

Download original image

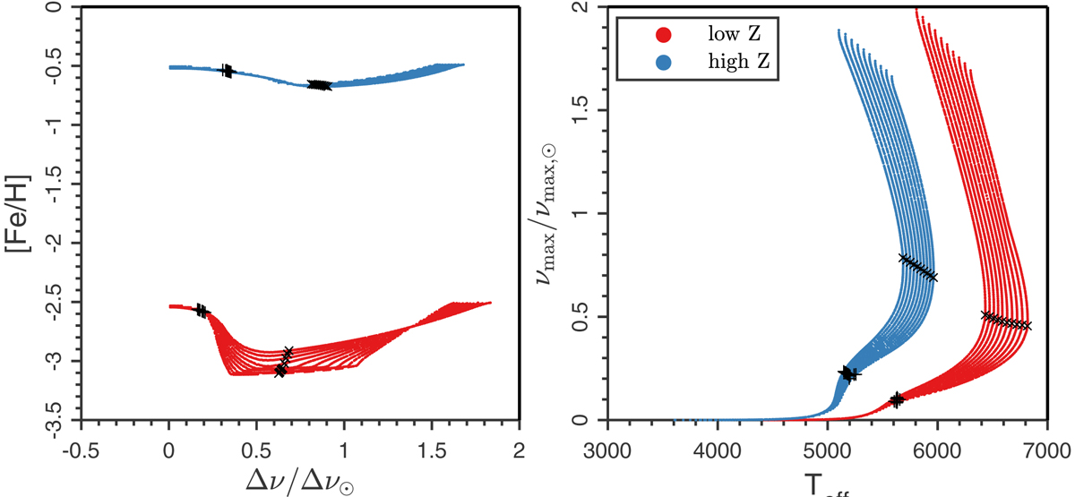
Distribution of identical stellar models (M < 0.8 M) at high ([Fe/H] = −0.5) and low ([Fe/H] = −2.5) initial metallicity. The black crosses “x” indicate the change in evolutionary phase from MS to SGB, while the black “+” signal the shift to RGB. Low metallicity models occupy a larger region in the observational parameter space.

Current usage metrics show cumulative count of Article Views (full-text article views including HTML views, PDF and ePub downloads, according to the available data) and Abstracts Views on Vision4Press platform.

Data correspond to usage on the plateform after 2015. The current usage metrics is available 48-96 hours after online publication and is updated daily on week days.

Initial download of the metrics may take a while.