Open Access

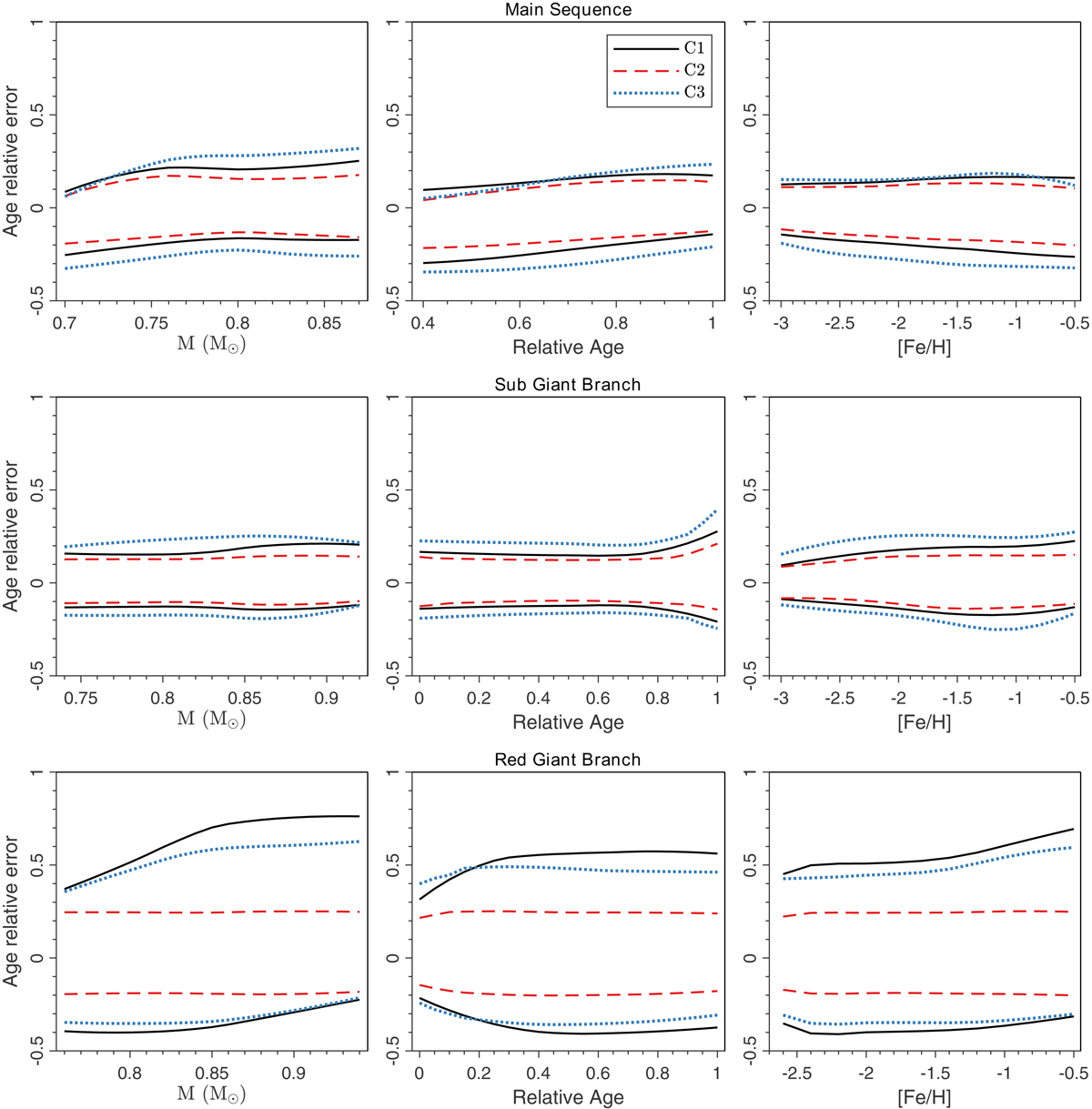
Fig. 3.

image

Download original image

Relative errors on age estimates in different evolutionary phases. Top row: relative errors on age estimates as a function of true mass (left panel), relative age (central panel), and metallicity [Fe/H] (right panel) for MS stars. Middle row: same as in the top row but for SGB stars. Bottom row: same as in the top row but for RGB stars. Black lines mark the 1σ age estimation error envelopes computed adopting C1 uncertainties. The dashed red lines show 1σ envelopes for the C2 scenario. The blue dotted lines mark 1σ envelopes for the C3 scenario (see text and Table 1).

Current usage metrics show cumulative count of Article Views (full-text article views including HTML views, PDF and ePub downloads, according to the available data) and Abstracts Views on Vision4Press platform.

Data correspond to usage on the plateform after 2015. The current usage metrics is available 48-96 hours after online publication and is updated daily on week days.

Initial download of the metrics may take a while.