Open Access

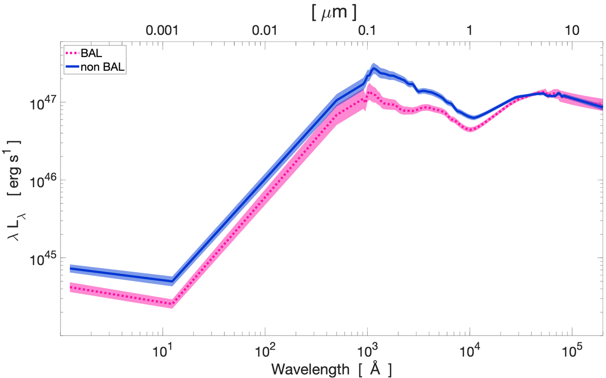
Fig. 11.

image

Download original image

Comparison between the mean SEDs of BAL QSOs (pink dotted line) and non-BAL QSOs (blue solid line) together with a 68% confidence interval shown as shaded area. The SEDs are not normalized.

Current usage metrics show cumulative count of Article Views (full-text article views including HTML views, PDF and ePub downloads, according to the available data) and Abstracts Views on Vision4Press platform.

Data correspond to usage on the plateform after 2015. The current usage metrics is available 48-96 hours after online publication and is updated daily on week days.

Initial download of the metrics may take a while.