Open Access

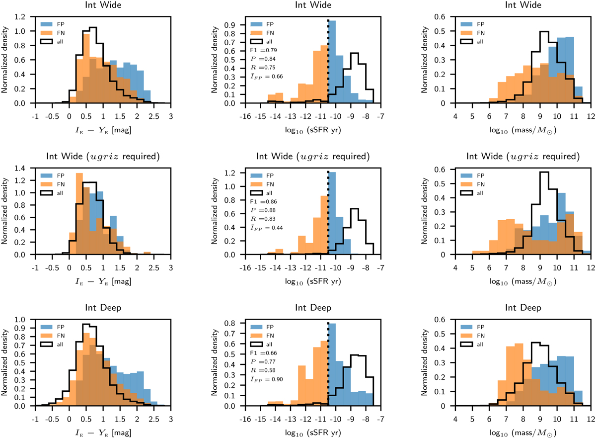
Fig. B.2

image

Download original image

Distribution of incorrect classifications (FP and FN) with respect to IEYE, sSFR, and stellar mass, when selecting quiescent galaxies from the Int catalogues. Also shown is the overall distribution of galaxies in the catalogue (or catalogue subset) on which the selection was performed. Top row: Using the ugriz, Euclid, W1 , W2, and 20 cm photometry from the Int Wide catalogue, excluding only those galaxies with a non-detection in any Euclid band. Centre row: As above, but excluding galaxies without a non-detection in any of the ugriz or Euclid bands. Bottom row: Using the ugriz, Euclid, W1 , W2, and 20 cm photometry from the Int Deep catalogue, excluding only those galaxies with a non-detection in any Euclid band. In each case, we include the values of the F1-score, precision, recall, and @ metrics

Current usage metrics show cumulative count of Article Views (full-text article views including HTML views, PDF and ePub downloads, according to the available data) and Abstracts Views on Vision4Press platform.

Data correspond to usage on the plateform after 2015. The current usage metrics is available 48-96 hours after online publication and is updated daily on week days.

Initial download of the metrics may take a while.