Open Access

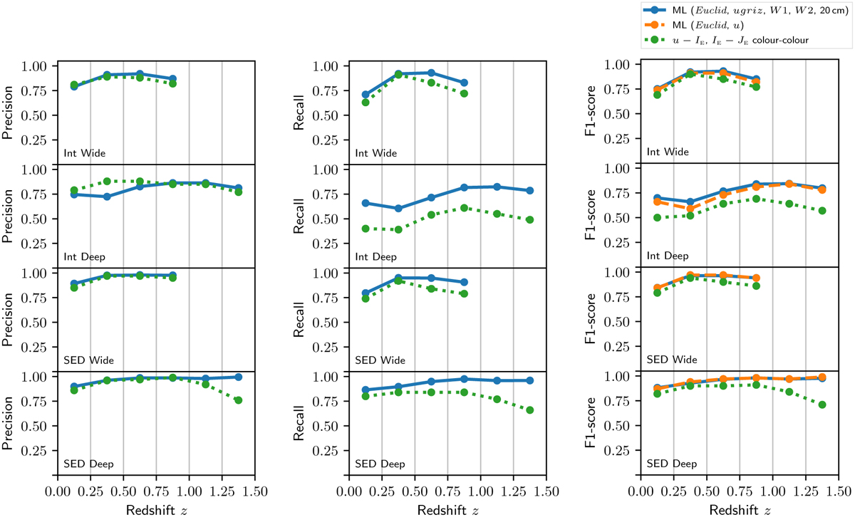
Fig. 9

image

Download original image

Precision, recall, and F1-score for quiescent galaxy identification methods when applied to the subset of galaxies detected in u, IE, and JE, using features derived from the ugriz, Euclid, W1, W2, and (for the Int catalogues) the 20 cm bands. For comparison, we show the F1-scores when only features derived from the u and Euclid bands are used. We also show curves representing the uIE, IEJE colour-colour selection method proposed by B20.

Current usage metrics show cumulative count of Article Views (full-text article views including HTML views, PDF and ePub downloads, according to the available data) and Abstracts Views on Vision4Press platform.

Data correspond to usage on the plateform after 2015. The current usage metrics is available 48-96 hours after online publication and is updated daily on week days.

Initial download of the metrics may take a while.