Open Access

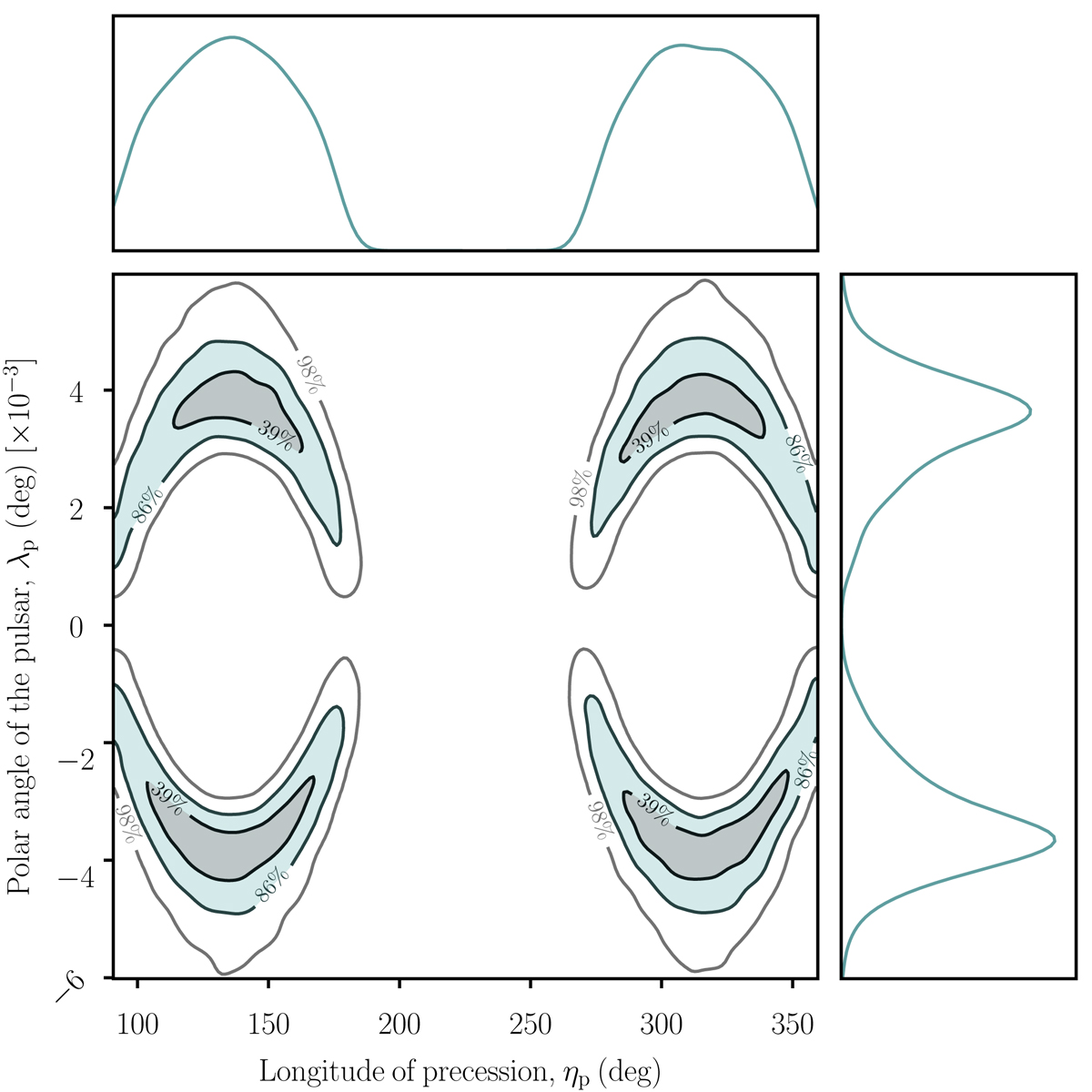
Fig. A.1.

image

Download original image

Constraints on the longitude of precession of the pulsar (θP) and the polar angle of the pulsar spin axis (λP) with respect to our line of sight, if all of obs is contributed by the changing aberration of the pulsar. Note that these constraints are independent of the sense of the inclination angle. See text for more details.

Current usage metrics show cumulative count of Article Views (full-text article views including HTML views, PDF and ePub downloads, according to the available data) and Abstracts Views on Vision4Press platform.

Data correspond to usage on the plateform after 2015. The current usage metrics is available 48-96 hours after online publication and is updated daily on week days.

Initial download of the metrics may take a while.