Open Access

Fig. 5.

image

Download original image

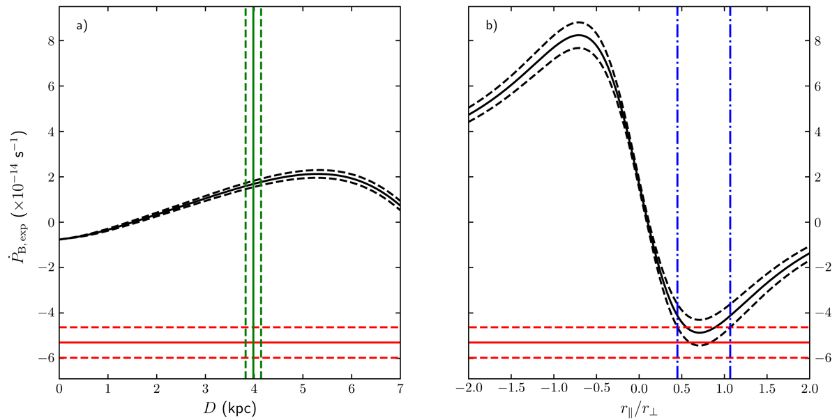
Expected values, B,exp (black), for the directly measured time derivative of the orbital period in the two scenarios where the PSR J1910−5959A binary is a field object (panel a) or is associated with NGC 6752 (panel b). The horizontal scales in panel a and b respectively are the pulsar distance, D, in kpc, and its depth inside the cluster, r, in units of r. The red line indicates the value B,obs measured from our timing. In panel a the vertical green line indicates the distance of NGC 6752 from the Sun. In panel b the vertical dot-dashed blue lines delimit the range for r where B,exp is consistent to B,obs. In both panels, dashed lines delimit the 1σ limits for the plotted quantities.

Current usage metrics show cumulative count of Article Views (full-text article views including HTML views, PDF and ePub downloads, according to the available data) and Abstracts Views on Vision4Press platform.

Data correspond to usage on the plateform after 2015. The current usage metrics is available 48-96 hours after online publication and is updated daily on week days.

Initial download of the metrics may take a while.