Open Access

Fig. 6.

image

Download original image

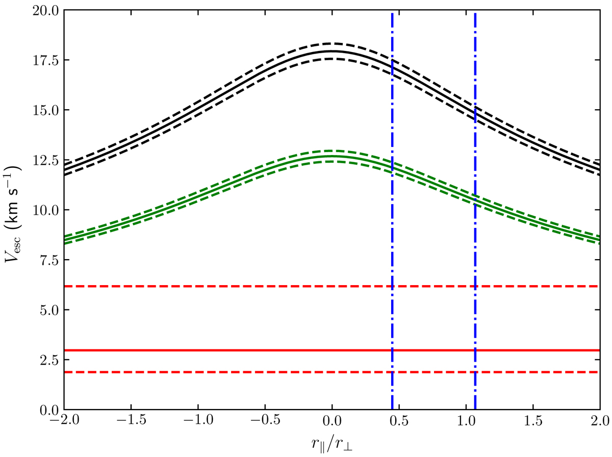
NGC 6752 escape (black) and circular orbit (green) velocity at the PSR J1910−5959A projected position, r, versus its depth inside the cluster, r, plotted in units of r. The red line indicates the pulsar 3D velocity in the cluster’s frame. Dashed lines delimit the 1σ limits for the plotted quantities. The vertical dot-dashed blue lines mark the range for r where the excess of acceleration can be explained as due to NGC 6752 (see Fig. 5, panel b).

Current usage metrics show cumulative count of Article Views (full-text article views including HTML views, PDF and ePub downloads, according to the available data) and Abstracts Views on Vision4Press platform.

Data correspond to usage on the plateform after 2015. The current usage metrics is available 48-96 hours after online publication and is updated daily on week days.

Initial download of the metrics may take a while.