Open Access

Fig. 7

image

Download original image

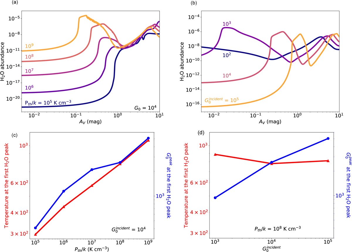
Evolution of H2O abundance, local gas temperature, and local UV field as a function of the thermal pressure and the incident UV field. Top panels: Abundance profile of H2O for different thermal pressures at a given UV field intensity (a) and for different incident UV fields at a given thermal pressure (b). Bottom panels: Evolution of the temperature and the UV field at the first H2O peak as a function of the thermal pressure (c) and the incident UV field intensity (d).

Current usage metrics show cumulative count of Article Views (full-text article views including HTML views, PDF and ePub downloads, according to the available data) and Abstracts Views on Vision4Press platform.

Data correspond to usage on the plateform after 2015. The current usage metrics is available 48-96 hours after online publication and is updated daily on week days.

Initial download of the metrics may take a while.