Open Access

Fig. 3.

image

Download original image

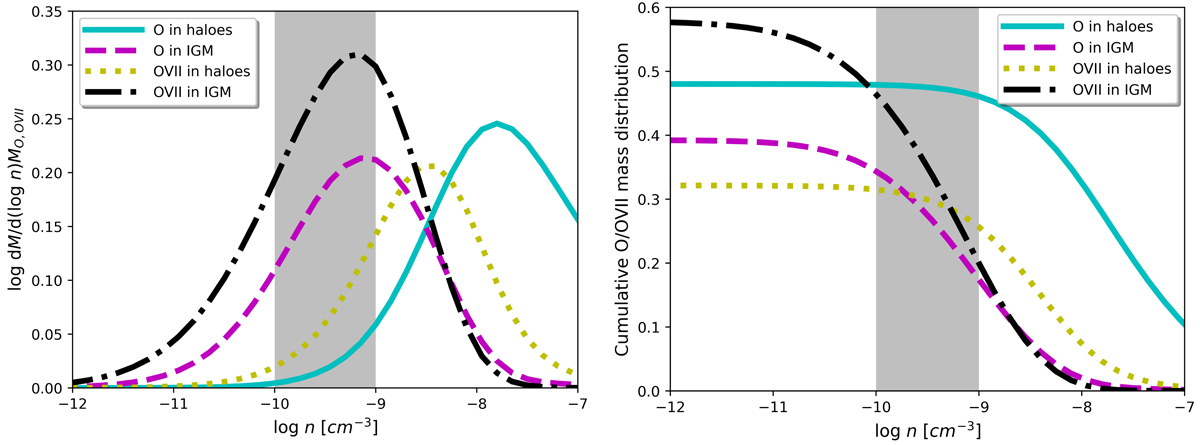
Oxygen and O VII mass fractions within filaments. Left panel: distribution of filamentary oxygen and O VII mass fractions in haloes and the IGM as a function of number density, divided by the total oxygen and O VII mass in the gas phase, respectively. Right panel: cumulative mass fraction within Bisous filaments. The sum of oxygen and O VII mass above a given density was divided by the total (non-stellar) mass of oxygen and O VII in the simulation, respectively. In both panels the solid turquoise (dotted yellow) and dashed purple (dash-dotted black) lines refer to the oxygen (O VII) mass within haloes and IGM in filaments, respectively. The grey shaded area indicates the assumed observational limits, for a path between 1 Mpc (log n ≈ −9) and 10 Mpc (log n ≈ −10) along the line of sight. In both panels we show only the oxygen and O VII distributions within Bisous filaments. The remaining oxygen and O VII are outside the filaments.

Current usage metrics show cumulative count of Article Views (full-text article views including HTML views, PDF and ePub downloads, according to the available data) and Abstracts Views on Vision4Press platform.

Data correspond to usage on the plateform after 2015. The current usage metrics is available 48-96 hours after online publication and is updated daily on week days.

Initial download of the metrics may take a while.