Open Access

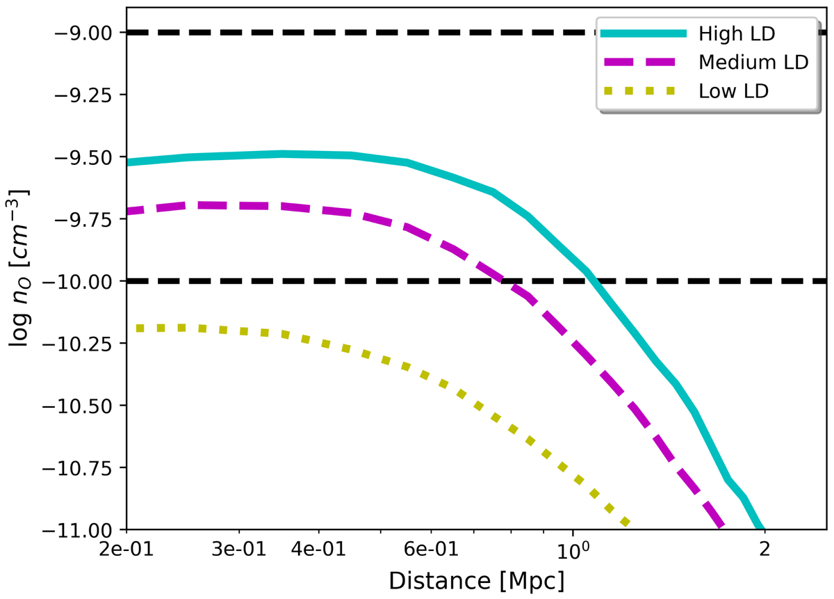
Fig. 4.

image

Download original image

Number density (nO) profiles of the intergalactic oxygen as a function of distance from filament spines. Each profile represents the median value from the individual spines at each given distance bin, with turquoise, dashed purple, and dotted yellow lines showing the median values for high, medium, and low LD filaments, respectively. The approximate detection limit range is shown with horizontal dashed lines.

Current usage metrics show cumulative count of Article Views (full-text article views including HTML views, PDF and ePub downloads, according to the available data) and Abstracts Views on Vision4Press platform.

Data correspond to usage on the plateform after 2015. The current usage metrics is available 48-96 hours after online publication and is updated daily on week days.

Initial download of the metrics may take a while.