Open Access

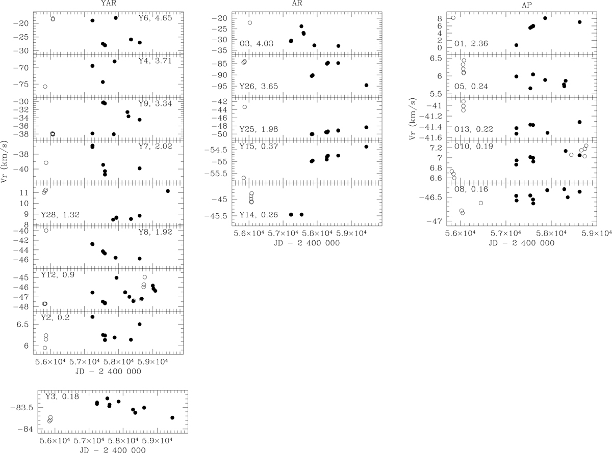
Fig. 2.

image

Download original image

Heliocentric radial velocities plotted as a function of Julian date for stars flagged as binaries (filled dots: HERMES; open dots: APOGEE). Each column collects stars of a given category (YAR, AR or AP, respectively). The labels in each panel give the star number and the HERMES+APOGEE RV standard deviation σ(RV), (in km s−1). Stars are ordered in terms of decreasing σ(RV) values (HERMES+APOGEE).

Current usage metrics show cumulative count of Article Views (full-text article views including HTML views, PDF and ePub downloads, according to the available data) and Abstracts Views on Vision4Press platform.

Data correspond to usage on the plateform after 2015. The current usage metrics is available 48-96 hours after online publication and is updated daily on week days.

Initial download of the metrics may take a while.