Open Access

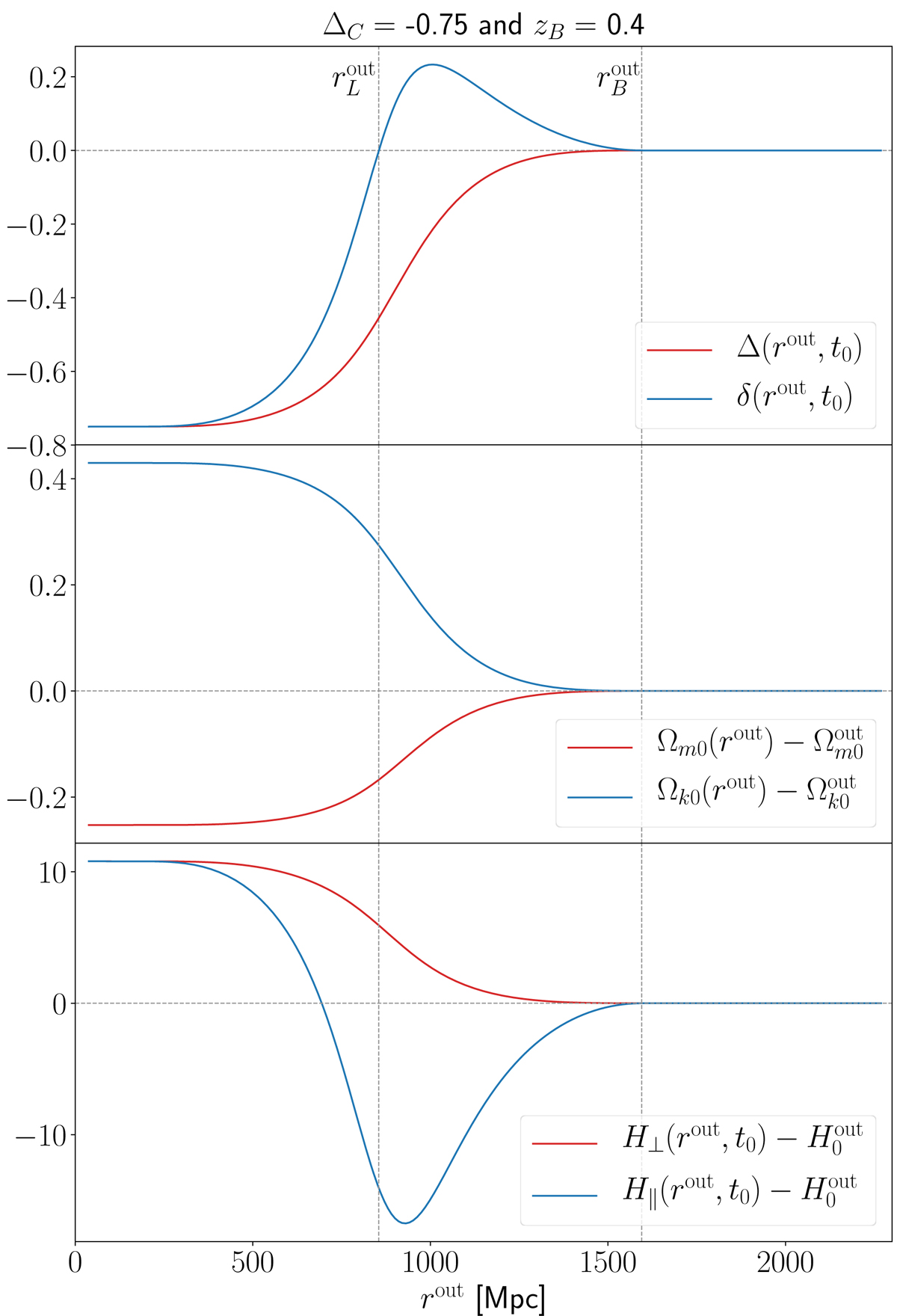
Fig. 1.

image

Download original image

Several ΛLTB quantities as a function of the FLRW comoving coordinate rout. Top: density contrast of matter, δ(r) = ρm(r, t0)/ρm(rB, t0)−1, and integrated mass, Δ(r), as functions of the FLRW comoving coordinate. At radius the central structure ends and the compensating shell begins, while is the boundary of the spherical inhomogeneity. Middle: deviations from the background density of matter, , and curvature, , as a function of the FLRW comoving coordinate due to the radial dependence on Ωm, 0(r) and Ωk, 0(r). We note that the FLRW background quantities are recovered for . Bottom: transverse and longitudinal fluctuations in the expansion rates as a function of the FLRW comoving coordinate.

Current usage metrics show cumulative count of Article Views (full-text article views including HTML views, PDF and ePub downloads, according to the available data) and Abstracts Views on Vision4Press platform.

Data correspond to usage on the plateform after 2015. The current usage metrics is available 48-96 hours after online publication and is updated daily on week days.

Initial download of the metrics may take a while.