Open Access

Fig. 12

image

Download original image

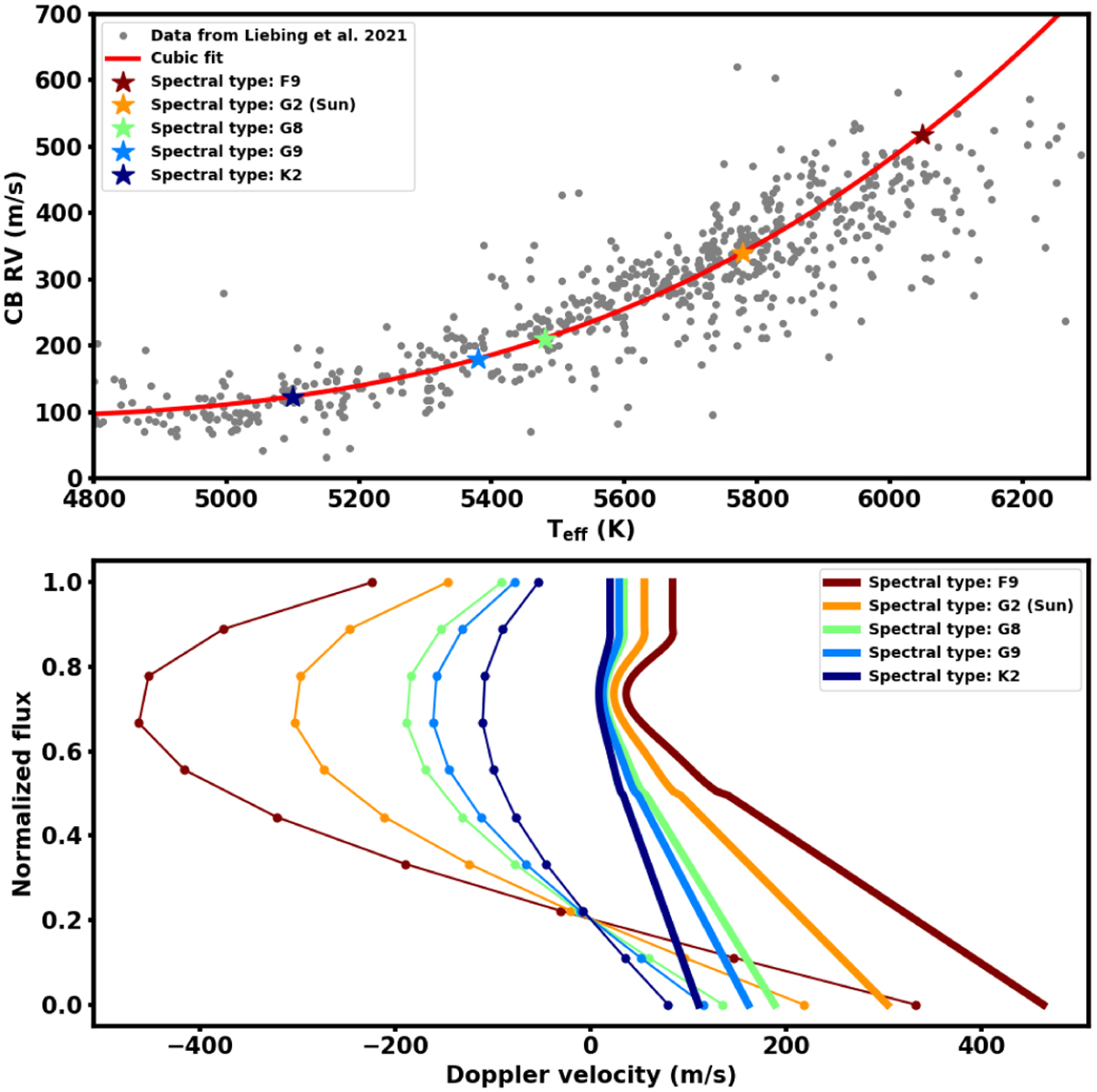
CB velocity as a function of spectral type. Top: data from Liebing et al. (2021) and cubic fit to them, giving as relation CBvel = 95.2388 × ((Teff − 4400)/1000)3 + 91.2791. We show with coloured stars the CB velocity value for different spectral types that we model in the paper. Bottom: bisector of the quiet photosphere measured from Löhner-Böttcher et al. (2019) at μ = 0.85 (thin lines) and the bisector of an active region measured from Cavallini et al. (1985a) at μ = 1.0 (thick lines) for different spectral types. We impose that the maximum difference between the quiet bisector at μ = 0.85 and μ = 0.2 (not shown here), happening at a depth of 0.58 is equal to the CB velocity given by the relation found in the top panel. We also force the difference between the quiet bisector at μ = 0.85 and the active bisectors, independent of their μ angle, to be equal to the same value at a depth of 0.58.

Current usage metrics show cumulative count of Article Views (full-text article views including HTML views, PDF and ePub downloads, according to the available data) and Abstracts Views on Vision4Press platform.

Data correspond to usage on the plateform after 2015. The current usage metrics is available 48-96 hours after online publication and is updated daily on week days.

Initial download of the metrics may take a while.