Open Access

Fig. 13

image

Download original image

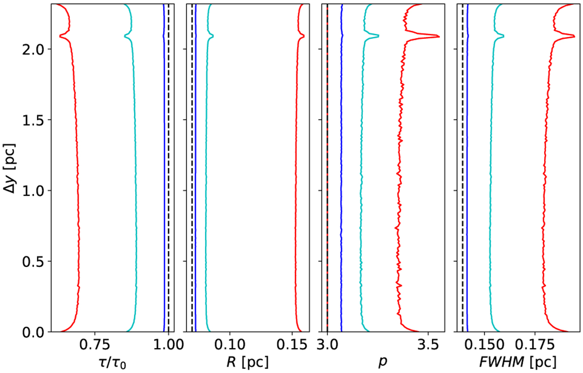
Modelled effect of scattered light on the filament parameters derived from MIR observations. The filament column density is N(H2) = 1024 cm−2, and it is illuminated by an isotropic radiation field and a foreground point source. The blue curves correspond to the case of χ = 1 for the isotropic component and the point source with the nominal luminosity. The cyan and red curves show, respectively, the results when both radiation-field components are scaled by a factor of 20 or 100. The dashed black lines show the correct values of the parameters.

Current usage metrics show cumulative count of Article Views (full-text article views including HTML views, PDF and ePub downloads, according to the available data) and Abstracts Views on Vision4Press platform.

Data correspond to usage on the plateform after 2015. The current usage metrics is available 48-96 hours after online publication and is updated daily on week days.

Initial download of the metrics may take a while.