Open Access

Fig. 15

image

Download original image

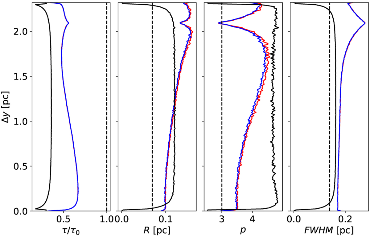
Estimated filament parameters along the N(H2) = 3 × 1023 cm−2 model filament, when the surface brightness includes 8 μm thermal dust emission. The filament is illuminated by an isotropic background (χ = 1) and a point source at Δy = 2.09 pc and a distance 0.94 pc to one side of the filament (cf. Fig. 14d). Red curves correspond to calculations with the true value of Ibg = 10 MJy sr−1 and blue curves to a case where the median surface brightness from Fig. 14d is added to the estimate of Ibg. The black curves are for the case of a χ = 10 isotropic radiation field (no point source), with a similarly adjusted Ibg estimate.

Current usage metrics show cumulative count of Article Views (full-text article views including HTML views, PDF and ePub downloads, according to the available data) and Abstracts Views on Vision4Press platform.

Data correspond to usage on the plateform after 2015. The current usage metrics is available 48-96 hours after online publication and is updated daily on week days.

Initial download of the metrics may take a while.