Open Access

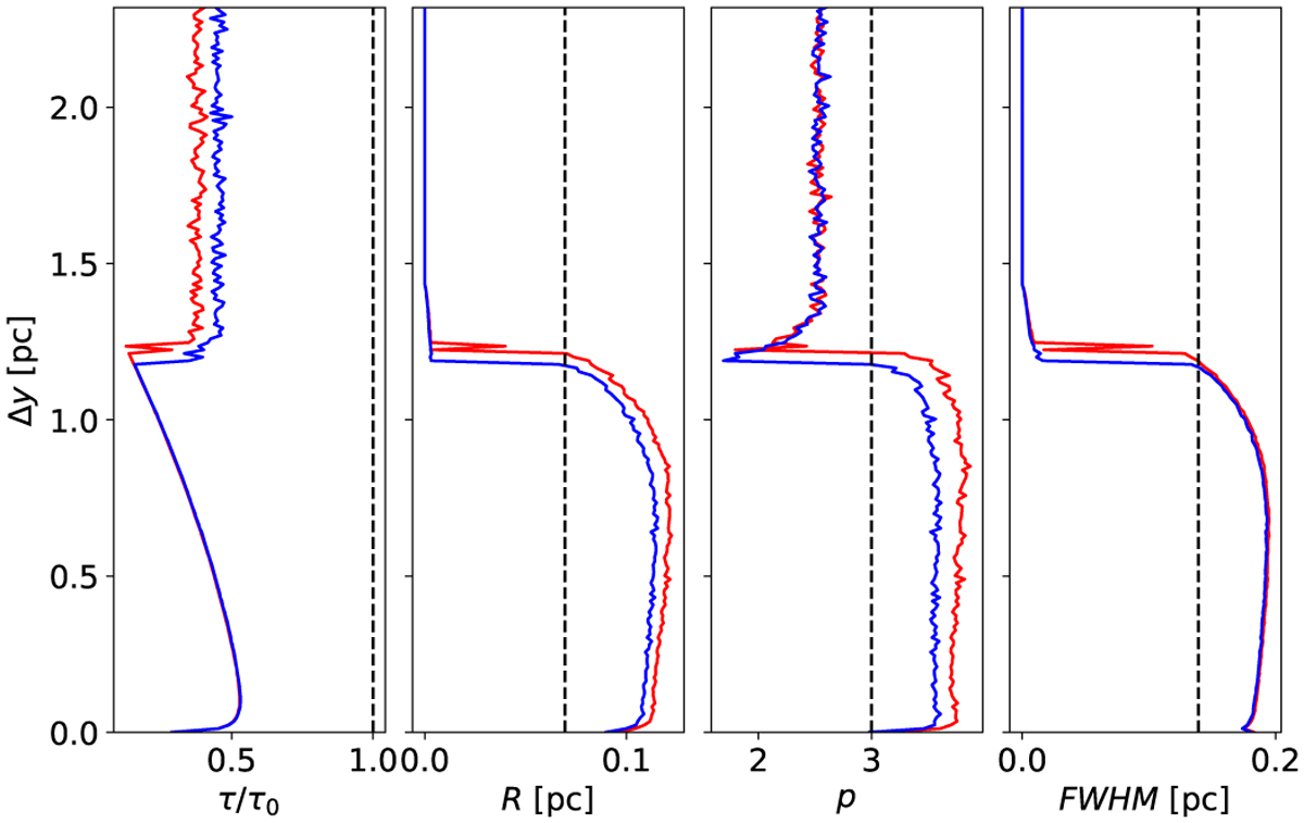
Fig. F.3

image

Download original image

As Fig. F.2 but with the point source located 0.93 pc in front of the model filament. Because of thermal emission from stochastically heated grains, the filament is not visible as an MIR absorption feature at Δy > 1.2 pc and the corresponding data should be ignored.

Current usage metrics show cumulative count of Article Views (full-text article views including HTML views, PDF and ePub downloads, according to the available data) and Abstracts Views on Vision4Press platform.

Data correspond to usage on the plateform after 2015. The current usage metrics is available 48-96 hours after online publication and is updated daily on week days.

Initial download of the metrics may take a while.