Open Access

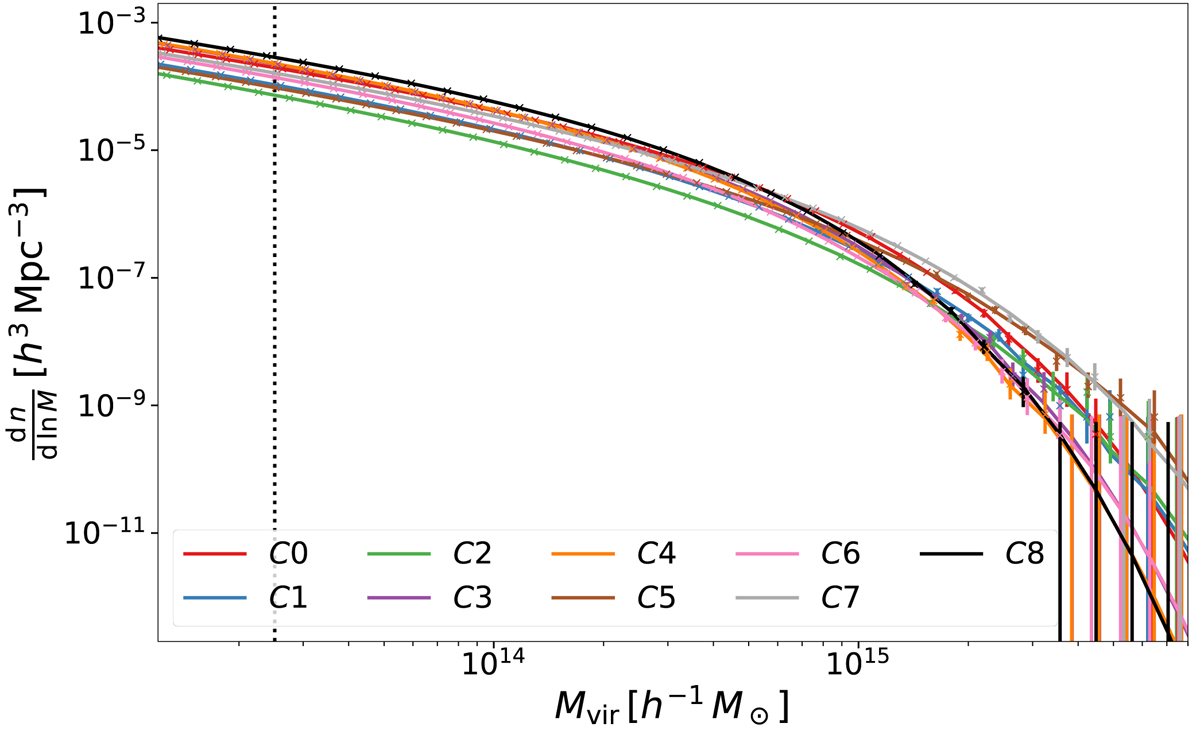
Fig. 14.

image

Download original image

HMF at z = 0 for the PICCOLO cosmologies and the ROCKSTAR best-fit prediction. The vertical dotted line represents the cut in mass corresponding to the minimum number of 300 particles for the C0 runs. Error bars are shown assuming a Poisson distribution of the expected number of objects.

Current usage metrics show cumulative count of Article Views (full-text article views including HTML views, PDF and ePub downloads, according to the available data) and Abstracts Views on Vision4Press platform.

Data correspond to usage on the plateform after 2015. The current usage metrics is available 48-96 hours after online publication and is updated daily on week days.

Initial download of the metrics may take a while.