Open Access

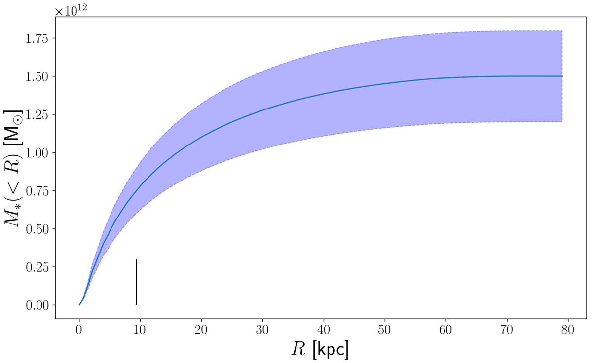
Fig. 4.

image

Download original image

Cumulative stellar mass (M*) profile (solid blue line) and ±1σ uncertainties (shaded area) of the main lens. It is measured from the total stellar mass measured through the SED fitting and assuming a constant stellar mass-to-light ratio. The vertical black line shows the half-light radius of the lens galaxy.

Current usage metrics show cumulative count of Article Views (full-text article views including HTML views, PDF and ePub downloads, according to the available data) and Abstracts Views on Vision4Press platform.

Data correspond to usage on the plateform after 2015. The current usage metrics is available 48-96 hours after online publication and is updated daily on week days.

Initial download of the metrics may take a while.