Open Access

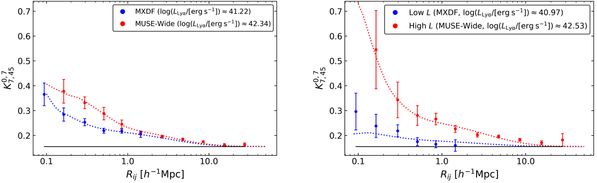
Fig. 7.

image

Download original image

Clustering dependence on Lyα luminosity. Left: K-estimator measurements in the MUSE-Wide survey (red; ⟨LLyα⟩≈1042.34 erg s−1) and MXDF (blue; ⟨log LLyα⟩≈1041.22 erg s−1). The dotted curves represent the best HOD fits. The black straight line shows the expected K-estimator of an unclustered sample. Right: same for the high LLyα subset (red) from the MUSE-Wide survey and the low LLyα subsample (blue) from MXDF.

Current usage metrics show cumulative count of Article Views (full-text article views including HTML views, PDF and ePub downloads, according to the available data) and Abstracts Views on Vision4Press platform.

Data correspond to usage on the plateform after 2015. The current usage metrics is available 48-96 hours after online publication and is updated daily on week days.

Initial download of the metrics may take a while.