Open Access

Fig. 6

image

Download original image

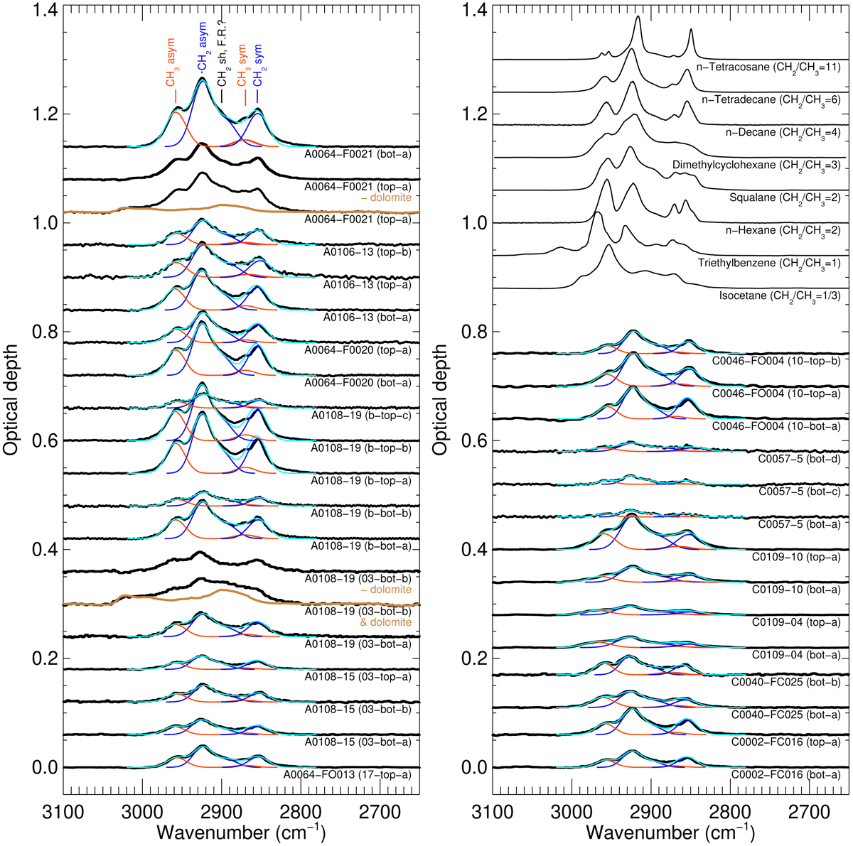
Aliphatic stretches' spectral decomposition used to calculate the methylene-to-methyl ratios. The spectra are fitted with five components corresponding to the asymmetric CH3 stretching mode (~2960 cm−1), the asymmetric CH2 stretch and its red shoulder (~2920−2900 cm−1), and the symmetric stretches of the same groups ~2880-2850 cm−1). The approximate positions of these modes are labelled above the upper left spectrum. The CH3 contributions are shown in red, and the CH2 ones in blue. In a few spectra, a contribution from dolomite affects the profile. For these, the expected dolomite spectrum contribution is shown in brown and the dolomite-subtracted spectrum is shown above. Spectra with a high fraction of dolomite contribution were not deconvolved. In the upper right corner are shown reference spectra of linear and branched alkanes, an alkyl benzene and a cycloalkane, with varying methylene-to-methyl ratios: isocetane, squalane, n-tetradecane (purchased from Merck), and n-tetracosane (provided by Sylvie Heron) were measured as received with our FTIR-microscope; n-hexane and n-decane spectra are from Dartois et al. (2004); triethylbenzene and dimethylcyclohexane spectra are from the NIST database: https://webbook.nist.gov/chemistry/. Although they are specific species, this series shows the expected asymmetric CH2/CH3 stretch band ratio trend.

Current usage metrics show cumulative count of Article Views (full-text article views including HTML views, PDF and ePub downloads, according to the available data) and Abstracts Views on Vision4Press platform.

Data correspond to usage on the plateform after 2015. The current usage metrics is available 48-96 hours after online publication and is updated daily on week days.

Initial download of the metrics may take a while.