Open Access

Fig. A.1.

image

Download original image

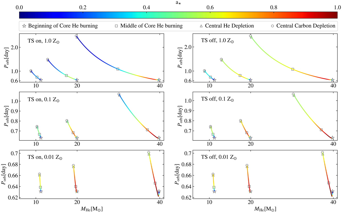
Evolution of the spin parameter a as a function of the orbital period and mass of He-rich stars at different metallicities and AM transport mechanisms. Top-left panel: TS on and 1.0 Z. Middle-left panel: TS on and 0.1 Z. Bottom-left panel: TS on and 0.01 Z. Top-right panel: TS off and 1.0 Z. Middle-right panel: TS off and 0.1 Z. Bottom-right panel: TS off and 0.01 Z. The spin a at different evolutionary stages are marked with symbols. Star: Beginning of core He burning. Square: Middle of core He burning. Triangle: Central He depletion. Circle: Central carbon depletion.

Current usage metrics show cumulative count of Article Views (full-text article views including HTML views, PDF and ePub downloads, according to the available data) and Abstracts Views on Vision4Press platform.

Data correspond to usage on the plateform after 2015. The current usage metrics is available 48-96 hours after online publication and is updated daily on week days.

Initial download of the metrics may take a while.