Open Access

Fig. 21

image

Download original image

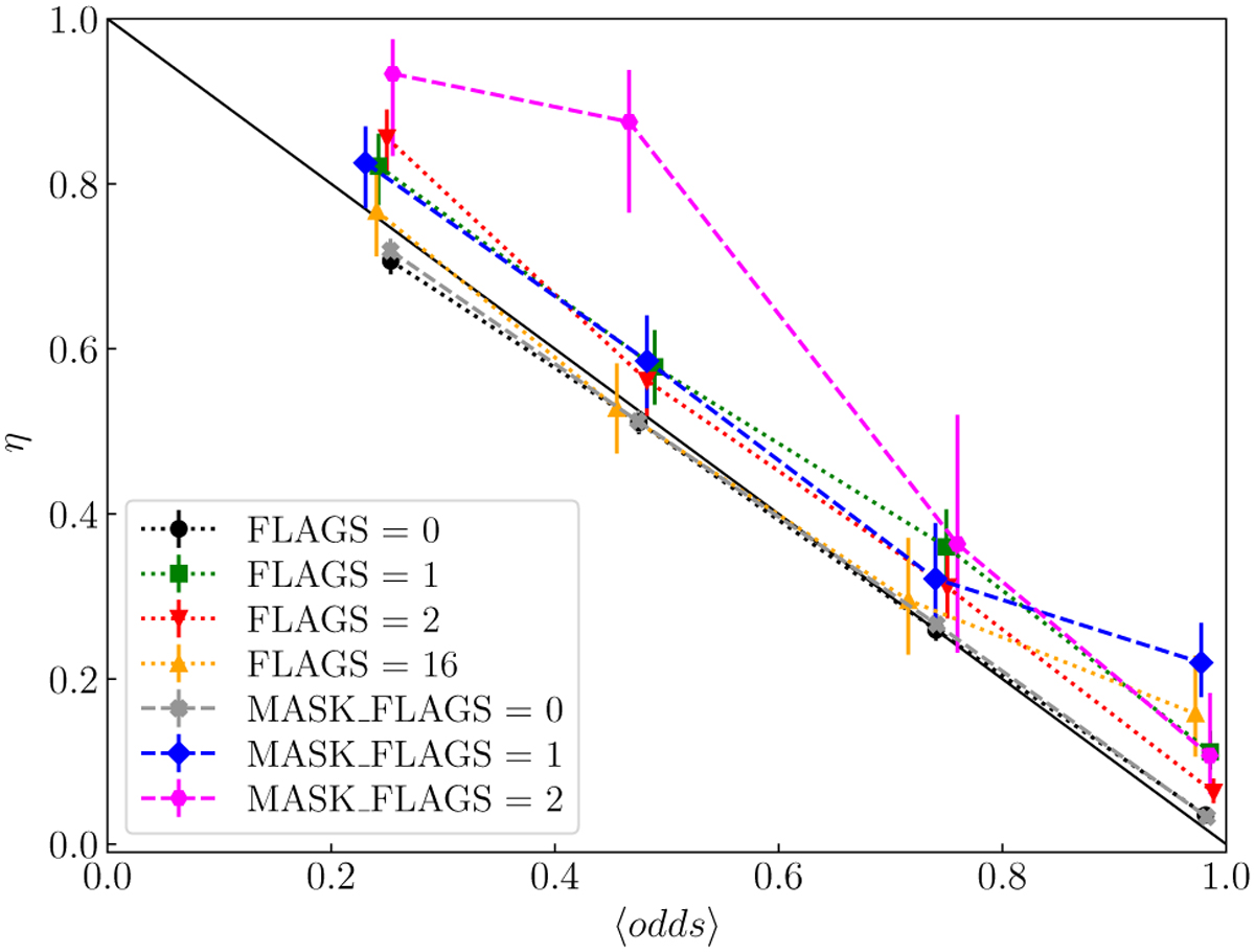
Relation between the outlier rate and the average odds for sources grouped by their flags values. Symbols indicate the fraction of outliers found in the combined spectroscopic sample of miniJPAS and J-NEP for sources in the odds intervals 0–0.35, 0.35–0.6, 0.6–0.9, and 0.9–1. Error bars represent 68% confidence intervals computed with the Wilson formula for binomial distributions. The solid line represents the relation η = 1 − 〈odds〉.

Current usage metrics show cumulative count of Article Views (full-text article views including HTML views, PDF and ePub downloads, according to the available data) and Abstracts Views on Vision4Press platform.

Data correspond to usage on the plateform after 2015. The current usage metrics is available 48-96 hours after online publication and is updated daily on week days.

Initial download of the metrics may take a while.