Open Access

Fig. 2

image

Download original image

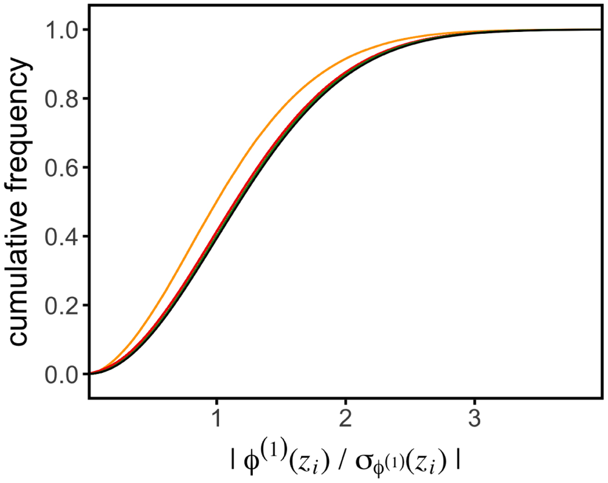
Empirical cumulative distribution functions for the absolute value of the derivative, normalised to its error, at the roots of linear combinations of Hermite functions, for N = 5 (orange), 55 (red), and 200 (green). The black curve shows the cumulative distribution function for a chi distribution with two degrees of freedom.

Current usage metrics show cumulative count of Article Views (full-text article views including HTML views, PDF and ePub downloads, according to the available data) and Abstracts Views on Vision4Press platform.

Data correspond to usage on the plateform after 2015. The current usage metrics is available 48-96 hours after online publication and is updated daily on week days.

Initial download of the metrics may take a while.