Open Access

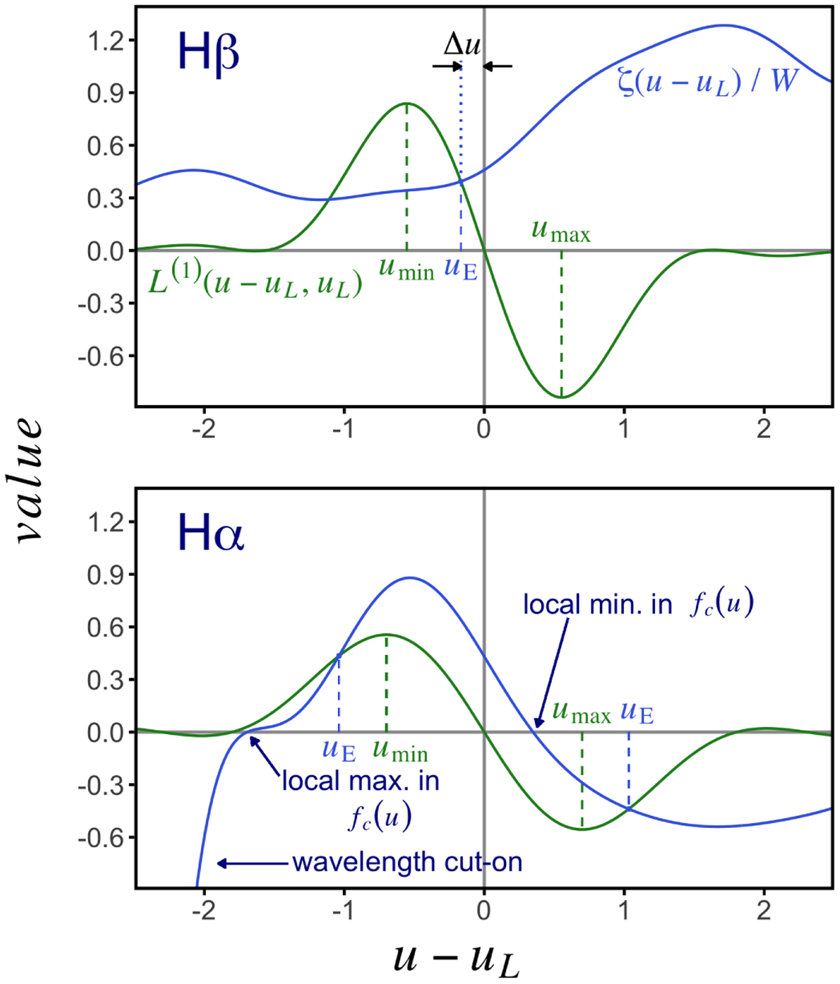
Fig. 4

image

Download original image

Illustration of the shift between the line position, uL, and the position of local extrema, uE, for a 2 × 104 K black body background and an Hβ line (top panel) and an Hα line (bottom panel). The green lines show L(1) (uuL, uL) and the blue lines show ζ (uuL) divided by W. We refer to the text for more details.

Current usage metrics show cumulative count of Article Views (full-text article views including HTML views, PDF and ePub downloads, according to the available data) and Abstracts Views on Vision4Press platform.

Data correspond to usage on the plateform after 2015. The current usage metrics is available 48-96 hours after online publication and is updated daily on week days.

Initial download of the metrics may take a while.