Open Access

Fig. 13

image

Download original image

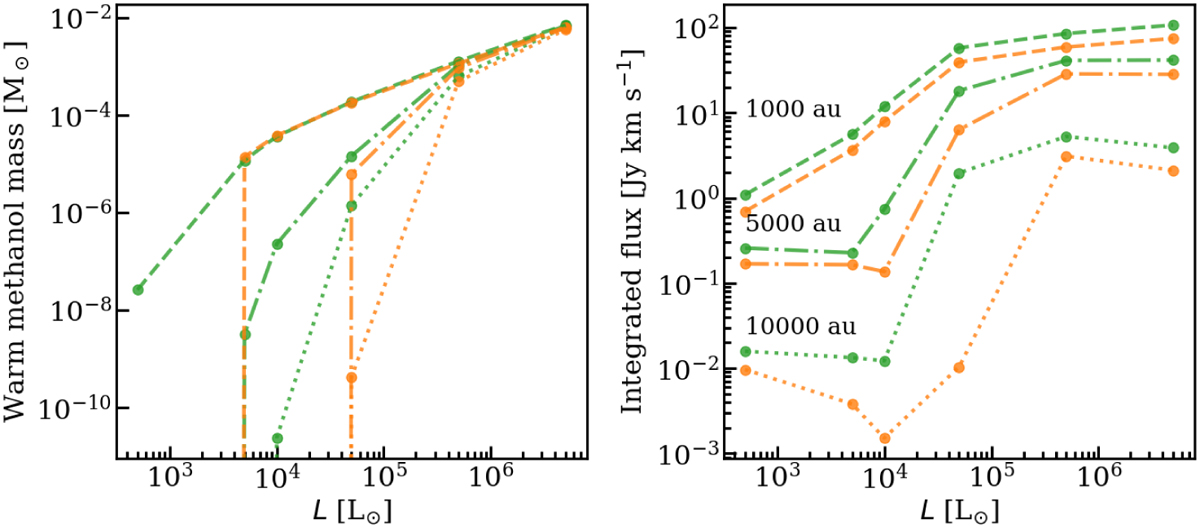
Warm methanol mass (left) and integrated line flux of methanol (right) for envelope-only fiducial models with different luminosities and carved HC or UC HII regions. Green and orange show low and high mm opacity dust models. Dashed lines show when the size of HII region is 1000 au, dashed dotted lines show the same for 5000 au, and the dotted lines show the same for 10 000 au. An HII region of size ~10 000 au is needed for a drop of ≳2 orders of magnitude in methanol emission.

Current usage metrics show cumulative count of Article Views (full-text article views including HTML views, PDF and ePub downloads, according to the available data) and Abstracts Views on Vision4Press platform.

Data correspond to usage on the plateform after 2015. The current usage metrics is available 48-96 hours after online publication and is updated daily on week days.

Initial download of the metrics may take a while.