Open Access

Fig. 6

image

Download original image

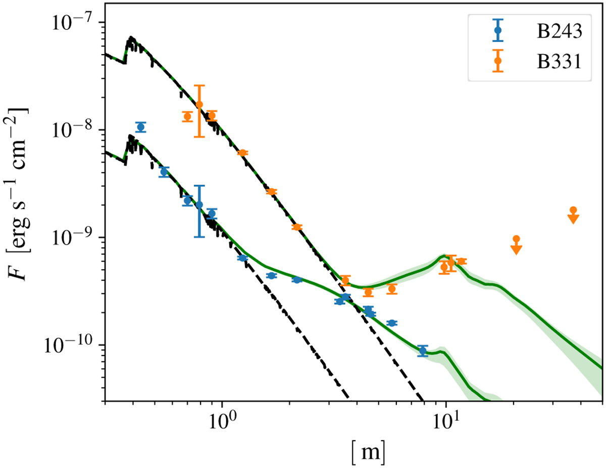
Observed and best fit SED of B243 and B331. For each star, the scatter points indicate the dereddened observed photometry and the black dashed lines the Kurucz model used as input for the stellar spectrum in PRODIMO. The best fitting models are drawn in green, with the shaded region indicating the 1σ uncertainty. For B331 the photometry from Lim et al. (2020) is indicated as upper limits; these are not considered in the fitting procedure.

Current usage metrics show cumulative count of Article Views (full-text article views including HTML views, PDF and ePub downloads, according to the available data) and Abstracts Views on Vision4Press platform.

Data correspond to usage on the plateform after 2015. The current usage metrics is available 48-96 hours after online publication and is updated daily on week days.

Initial download of the metrics may take a while.