Open Access

Fig. 12

image

Download original image

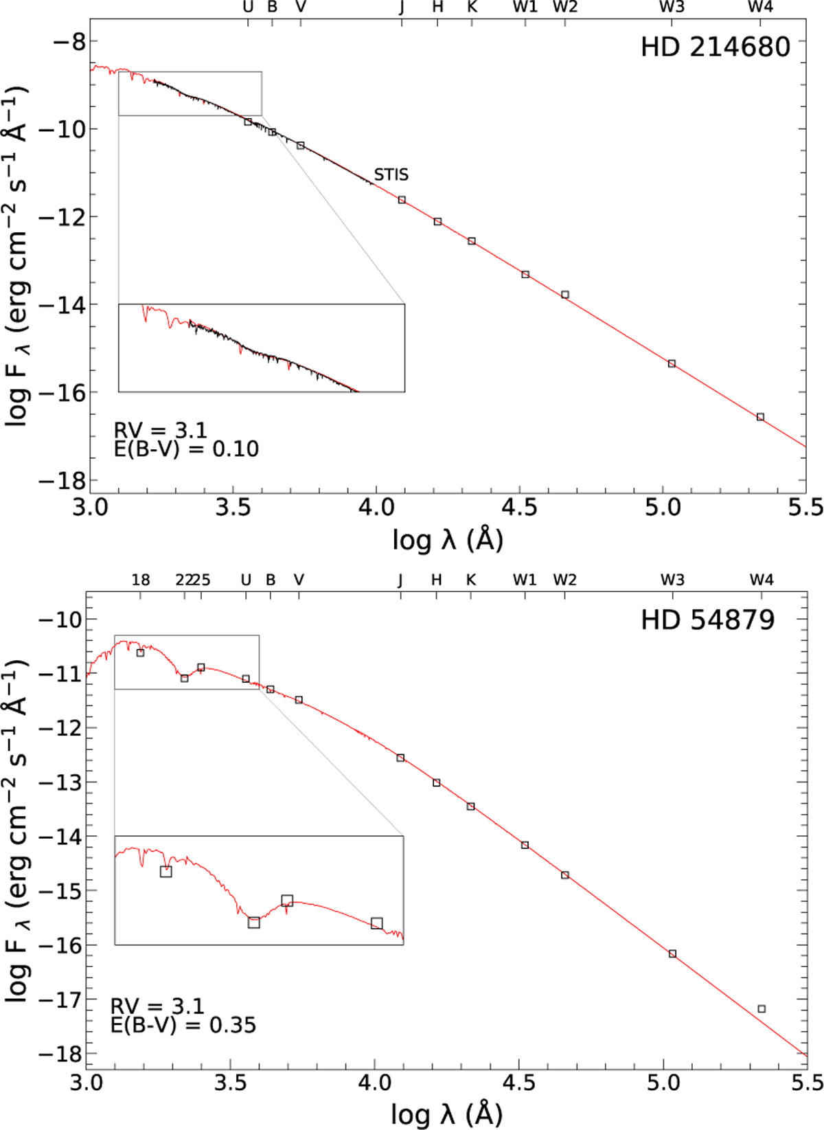
Example SED fits of reddened ATLAS9 fluxes (red) to observed UV-spectra (black), if available, and photometric measurements for two sample stars: Johnson UBV (Mermilliod 1997), 2MASS JHK (Cutri et al. 2003), WISE W1 to W4 (Cutri et al. 2021), and ANS magnitudes (Wesselius et al. 1982). The insets zoom in on the UV range.

Current usage metrics show cumulative count of Article Views (full-text article views including HTML views, PDF and ePub downloads, according to the available data) and Abstracts Views on Vision4Press platform.

Data correspond to usage on the plateform after 2015. The current usage metrics is available 48-96 hours after online publication and is updated daily on week days.

Initial download of the metrics may take a while.