Open Access

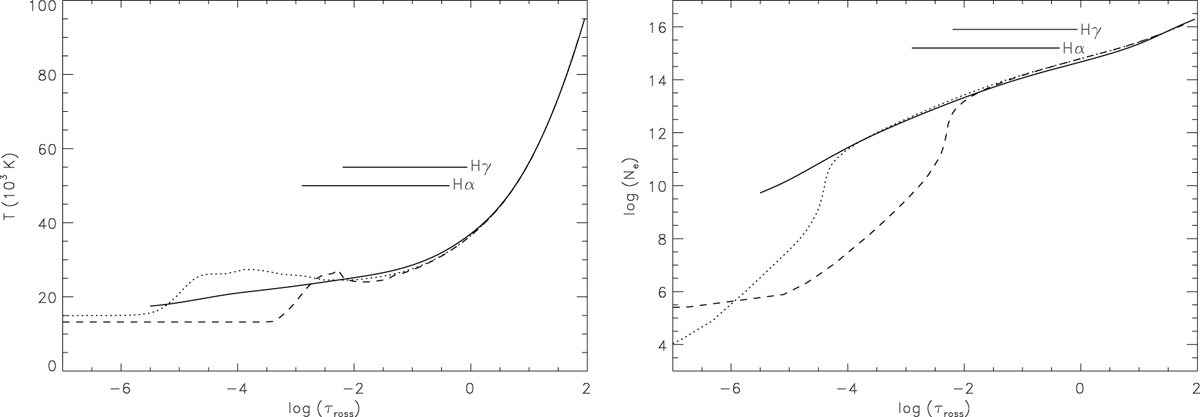
Fig. 3

image

Download original image

Comparison of ATLAS 12 (full line) and FASTWIND model atmospheres for an effective temperature of 33 000 K, surface gravity 4.0, microturbulent velocity 5 km s−1, and solar metallicity. Left panel: temperature structure. Right panel: electron density structure as a function of Rosseland optical depth, τross. The two FASTWIND models were computed for the parameters stellar radius R = 6.58R, wind terminal velocity υ = 1200 km s−1, /β-velocity-field parameter β =1.0, and mass-loss rates log (Myr−1) = −9.5 (weak wind, dotted line) and log (Myr1) = −7.4l (wind mass-loss rate according to Vink et al. 2000, dashed line). Formation depths for the Balmer Ηα and Fly lines are indicated.

Current usage metrics show cumulative count of Article Views (full-text article views including HTML views, PDF and ePub downloads, according to the available data) and Abstracts Views on Vision4Press platform.

Data correspond to usage on the plateform after 2015. The current usage metrics is available 48-96 hours after online publication and is updated daily on week days.

Initial download of the metrics may take a while.