Open Access

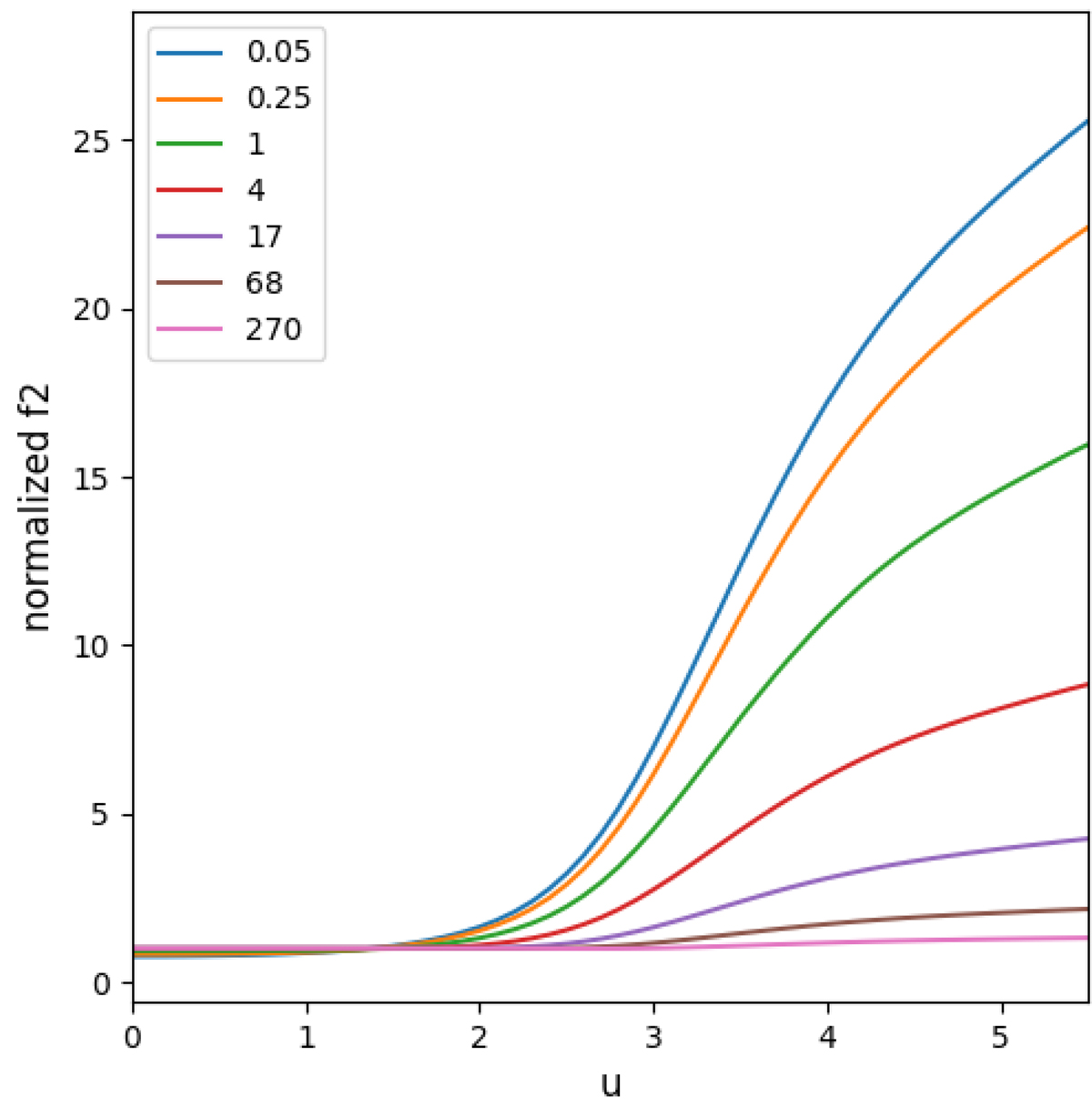
Fig. 3.

image

Download original image

Deviations from Maxwellian illustrated by ratios f2(u, τ)/fM(u) at various optical depths across the atmosphere using the same convention as in Fig. 2. It shows the “overpopulation” of f2 at large u’s. This very information cannot be accessed to, using standard non-LTE approaches.

Current usage metrics show cumulative count of Article Views (full-text article views including HTML views, PDF and ePub downloads, according to the available data) and Abstracts Views on Vision4Press platform.

Data correspond to usage on the plateform after 2015. The current usage metrics is available 48-96 hours after online publication and is updated daily on week days.

Initial download of the metrics may take a while.