Open Access

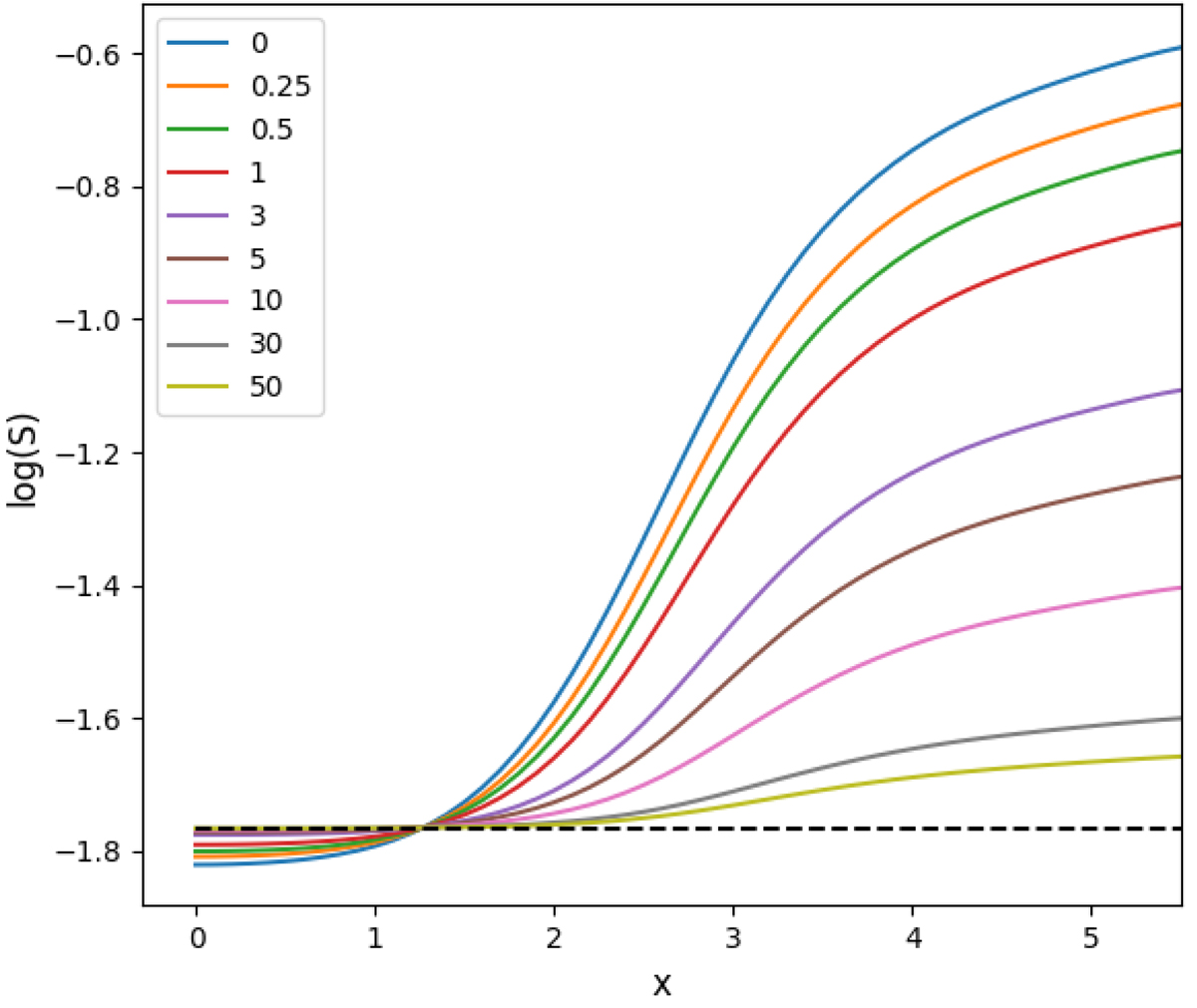
Fig. 4.

image

Download original image

Variation with frequency of the normalized source function at τ ≈ 1, for different values of the velocity-changing elastic collision parameter ζ (indicated in the top-left frame). The model-atmosphere is the same as the one considered in Sect. 6 and Hummer (1969). As expected, successive solutions range between standard PRD-RI − A values (blue) and the limit of the CRD solution (dashed line) for increasing values of ζ.

Current usage metrics show cumulative count of Article Views (full-text article views including HTML views, PDF and ePub downloads, according to the available data) and Abstracts Views on Vision4Press platform.

Data correspond to usage on the plateform after 2015. The current usage metrics is available 48-96 hours after online publication and is updated daily on week days.

Initial download of the metrics may take a while.