Open Access

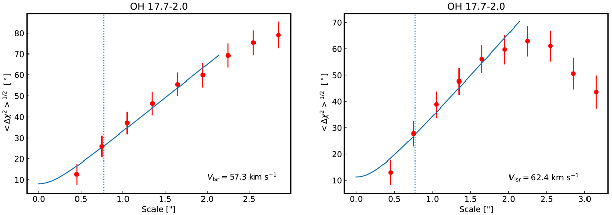
Fig. 5.

image

Download original image

Dispersion of polarisation vectors (the square root of the second-order structure function) binned to the Nyquist sampled resolution, for two velocity channels of the CO J = 2 − 1 polarised emission around OH 17.7−2.0. The error bars indicate the variance in each bin. The vertical dotted line indicates the size of the beam major axis. The solid line indicates the fit of the structure function analysis described in the text.

Current usage metrics show cumulative count of Article Views (full-text article views including HTML views, PDF and ePub downloads, according to the available data) and Abstracts Views on Vision4Press platform.

Data correspond to usage on the plateform after 2015. The current usage metrics is available 48-96 hours after online publication and is updated daily on week days.

Initial download of the metrics may take a while.