Fig. B.1.

image

Download original image

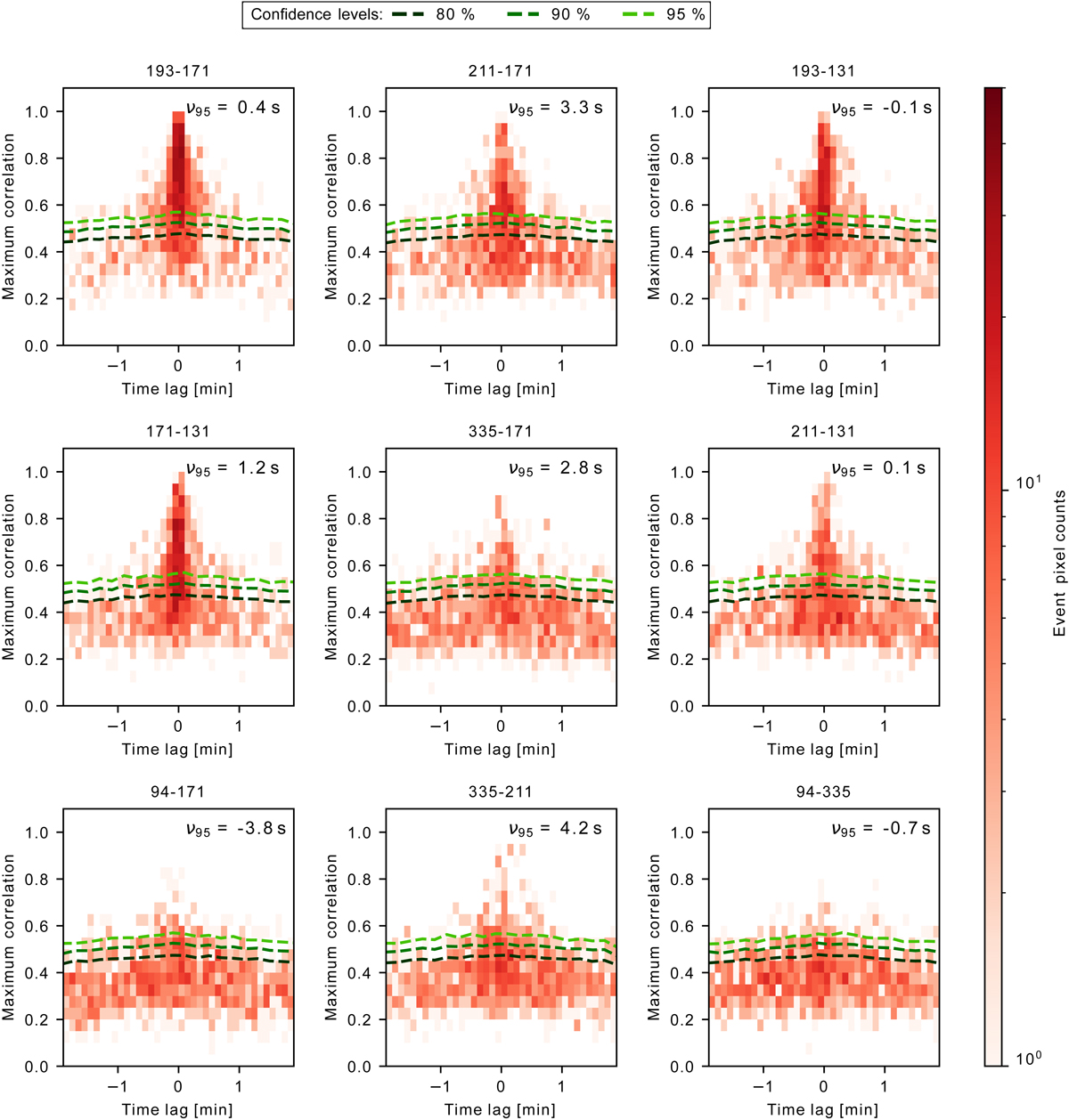
Same as Fig. 5 but with a full-event approach, as opposed to a pixel-based one. For each of the 1314 events, the light curves were spatially averaged over each of their respective event surface. Then, time lag extraction was performed, similar to the pixel-based approach (Sect. 3.2). The estimated background has been subtracted on event pixels with the "inpainting" algorithm.

Current usage metrics show cumulative count of Article Views (full-text article views including HTML views, PDF and ePub downloads, according to the available data) and Abstracts Views on Vision4Press platform.

Data correspond to usage on the plateform after 2015. The current usage metrics is available 48-96 hours after online publication and is updated daily on week days.

Initial download of the metrics may take a while.