Open Access

Fig. 4

image

Download original image

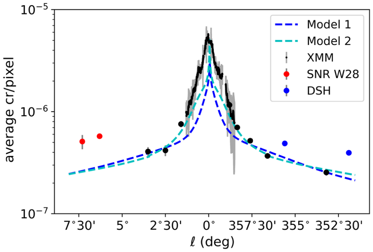
Longitudinal profile of the X-ray, and SMD models data. Average count rate per pixel for the Fe XXV Band over Galactic longitude (), extracted from a profile of 0.5 deg width, centred at Sgr A*. The XMM-Newton data are shown with black dots while the profiles extracted from the SMD Models 1 and 2 are shown with the blue and cyan dashed lines respectively. The red and blue points are XMM-Newton observations that include the SNR W28 and the dust scattering halos from bright XRBs, respectively, and therefore show an excess compared to the scaled Model 2.

Current usage metrics show cumulative count of Article Views (full-text article views including HTML views, PDF and ePub downloads, according to the available data) and Abstracts Views on Vision4Press platform.

Data correspond to usage on the plateform after 2015. The current usage metrics is available 48-96 hours after online publication and is updated daily on week days.

Initial download of the metrics may take a while.