Open Access

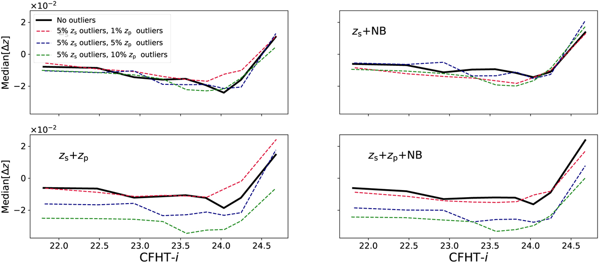
Fig. D.1

image

Download original image

Effect on the photo-z predictions of different outlier rates in the target spectroscopic and high-precision photometric redshifts used as ground-truth targets to train the methods in Sect. 3. In all cases, outliers have been included following Eq. (C.1).

Current usage metrics show cumulative count of Article Views (full-text article views including HTML views, PDF and ePub downloads, according to the available data) and Abstracts Views on Vision4Press platform.

Data correspond to usage on the plateform after 2015. The current usage metrics is available 48-96 hours after online publication and is updated daily on week days.

Initial download of the metrics may take a while.