Open Access

Fig. 11.

image

Download original image

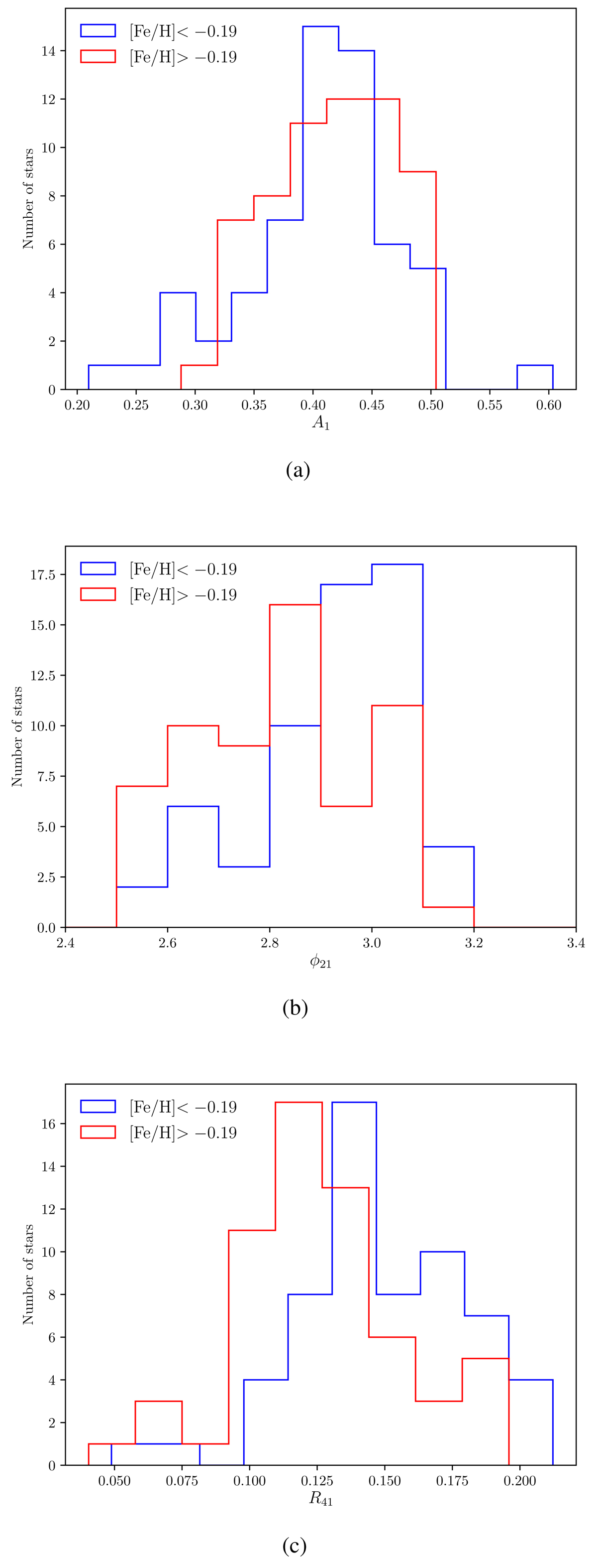
Histogram of A1, ϕ21 and R41 for Cepheids with pulsation period between 12 and 40 days for metal-rich ([Fe/H] > −0.19) and metal-poor ([Fe/H] < −0.19) stars. [Fe/H] = −0.19 dex represents the median of the metallicity sample of long-period Cepheids. (a) A1. (b) ϕ21. (c) R41.

Current usage metrics show cumulative count of Article Views (full-text article views including HTML views, PDF and ePub downloads, according to the available data) and Abstracts Views on Vision4Press platform.

Data correspond to usage on the plateform after 2015. The current usage metrics is available 48-96 hours after online publication and is updated daily on week days.

Initial download of the metrics may take a while.